1
道路工程
1.8.2.6.3 三、挡土墙土压力计算
三、挡土墙土压力计算

挡土墙墙背作用有静止土压力。当挡土墙向外移动时,土压力逐渐减小,当土体出现滑裂时的土压力称为主动土压力。若挡土墙受拱圈推力作用,墙后土体挤压鼓出时土对墙的反力称为被动土压力。

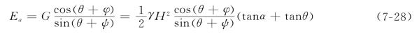
路基挡土墙一般都可能有向外位移倾覆的趋势,因此在设计中按主动土压力计算。计算采用库仑土压力或朗肯土压力理论。库仑理论假定墙背倾角为α,地面坡角为β,土壤与墙背的摩擦角为δ,土的内摩擦角为φ,土的破裂面通过墙踵,破裂棱体为无变形刚体,如图7-29所示。根据破裂棱体上力的平衡,可推出破裂角θ时的主动土压力的计算公式:

式中 γ——土的容重,kN/m3

   H——挡土墙高度,m。

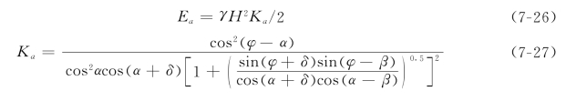
朗肯理论假定地面水平,β=0;墙面垂直,α=0;墙背光滑无摩擦力,δ=0。显然,朗肯公式就是库仑土压力公式的特例。

图7-29 库仑理论假定

图7-30 挡土墙压力分布

挡土墙土压力亦可用土压力分布图来计算。挡土墙中深度为h点的土压力与其承受的垂直压力γh成正比,即σ=γhK,K为土压力系数。挡土墙上土压力Ea即为压力图的面积,即=γH2K/2。Ea通过图形重心作用到墙上,其方向与水平线呈角值α+δ,作用点至墙趾的高度为H/3。如图7-30所示。

图7-30中破裂棱体的重力G=γH2(tanα+tanθ)/2,由力的平衡条件可得

土压力系数即为

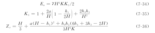
若为平坡路肩墙,路基上有当量均布荷载,其压力图为梯形。其重心高度为分块面积(三角形和矩形)对墙底面积矩之和,除以总面积求得:

其中K1=1+2h0/H

土压力作用点高度为

路堤挡土墙的破裂面交于边坡时,其土压力为

其中K1=H1/H=(1+tanαtanβ)/(1-tanαtanβ)

土压力作用点高度为

路堤挡土墙的破裂面若交于路基顶面当量荷载的外侧时,土压力分布如图7-31所示。

有关公式为

若破裂面交于当量荷载范围内,h4=0;若破裂面交于路基顶面但不在当量荷载范围内,则h3=0,h4=0,代入式(7-35)、式(7-36)即得K1和Zx值。