1
社会统计学
1.12.4.2 10.4.2 多重共线性导致的可能结果
10.4.2 多重共线性导致的可能结果

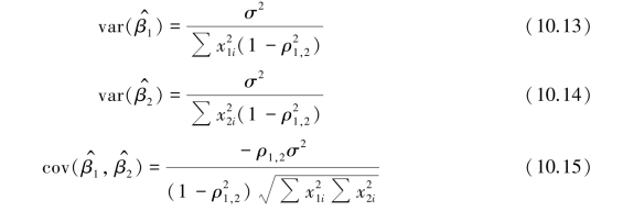
以两个自变量的多元回归模型为例,在使用最小二乘法(OLS)去估计待估计参数时,估计量的方差与协方差公式如下:

其中ρ1,2是X1 与X2 之间的相关系数。

VIF 表明,估计量的方差由于多重共线性的出现而膨胀,随着ρ1,2趋于1,VIF 趋于无穷大,即随着共线性程度的增加,估计量的方差也增加,并且在多重共线性达到极限ρ1,2 =1 时,它可以变到无穷大。 还容易看到,如果X1 与X2 之间无共线性,VIF 将是1。

由此可知,自变量之间的多重共线性可能导致如下结果:

①虽然最小二乘法(OLS)估计量仍是最优线性无偏估计量(Best Linear Unbiased Evaluation,BLUE),但其方差和协方差偏大,故难以做出精确的估计。

②基于上述原因,区间估计中置信区间要宽得多,以致接受原假设(虚拟假设)更为容易。

③由于上述第一个原因,一个或多个系数的t 比率倾向于统计上不显著。

④虽然一个或多个系数的t 比率在统计意义上不显著,但总的拟合优度R2 仍可能非常高。

⑤最小二乘法(OLS)估计量及其标准误对数据的微小变化也会非常敏感。