1
社会统计学
1.6.4.5 4.4.5 Somer’s d 系数
4.4.5 Somer’s d 系数

Somer’s d 系数(简称d 系数)的分子仍然是同序对数ns 和异序对数nd 的差,但分母经过了两个方向上的修正,并给出了dyx和dxy两个相关系数。 dyx可以视为变量y 与变量x 的相关,dxy可以视为变量x 与变量y 的相关。 两个相关系数的计算公式分别为:

其中,ny 表示变量y 的同分对数,nx 表示变量x 的同分对数。 在ny 和nx 中都不包括在变量x 和y 上同时同分的对数。 因此,在3×3 列联表中nx 和ny 的计算公式如下:

通常将dyx和dxy这两个相关系数的均值作为两个变量的相关系数,即

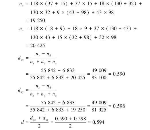
【例4.10】 请计算表4.17 中父辈文化程度和子辈文化程度的Somer’s d 系数。

解 由例4.8 可知,ns =55 842,nd =6 833。

由式(4.24)至式(4.28)可得:

计算结果仍表明,父辈文化程度和子辈文化程度间呈较强的正相关关系。