1
土力学与地基基础
1.10.7.2 7.7.2 内力的简化计算
7.7.2 内力的简化计算

柱下条形基础可视为作用有若干集中荷载并置于地基上的梁,同时受到地基反力的作用。在柱下条形基础结构设计中,除按抗冲切和抗剪强度验算以确定基础高度,并按翼板弯曲确定基础底板横向配筋外,还需计算基础纵向受力,以配置纵向受力钢筋。所以必须计算柱下条形基础的纵向弯矩分布。柱下条形基础纵向弯矩计算的常用简化方法有以下两种。

1.静定分析法

当柱荷载比较均匀,柱距相差不大,基础与地基相对刚度较大,以致可忽略柱下不均匀沉降时,可进行满足静力平衡条件下梁的内力计算。地基反力以线性分布作用于梁底,用材料力学的截面法求解梁的内力,称为静定分析法。静定分析法不考虑与上部结构的共同作用,因而在荷载和直线分布的地基反力作用下产生整体弯曲。此法算得的基础最不利截面上的弯矩绝对值往往偏大。此法只宜用于柔性上部结构,且自身刚度较大的条形基础。

2.倒梁法

在比较均匀的地基上,上部结构刚度较好,荷载分布和柱距较均匀(如相差不超过20%),且条形基础梁的高度不小于1/6柱距时。基底反力可按直线分布,基础梁的内力可按倒梁法计算。

倒梁法假定上部结构是绝对刚性的,各柱之间没有沉降差异,把柱脚视为条形基础的铰支座,将基础梁按倒置的普通连续梁(采用弯矩分配法或弯矩系数法)计算,而荷载则为直线分布的基底净反力bpj(kN/m)以及除去柱的竖向集中力所余下的各种作用(包括柱传来的力矩),计算简图如图7.28所示。这种计算方法只考虑出现于柱间的局部弯曲,不计沿基础全长发生的整体弯曲,所得的弯矩图正负弯矩最大值较为均衡,基础不利截面的弯矩最小。倒梁法适用于上部结构刚度很大的情况。

图7.28 倒梁法计算简图

倒梁法计算步骤如下:

(1)按柱的平面布置和构造要求确定条形基础长度l,根据地基承载力特征值确定基础底面积A,以及基础宽度b=A/l和截面抵抗矩力W=bl2/6。

(2)按直线分布假设计算基底净反力qn

式中——相应于荷载效应标准组合时,上部结构作用在条形基础上的竖向力(不包括基础和回填土的重力)总和,以及对条形基础形心的力矩值总和。当为轴心荷载时,pnmax=pnmin=pn

(3)确定柱下条形基础的计算简图,如图7.28所示。即将柱脚作为不动铰支座的倒连续梁。基底净线反力pjb和除掉柱轴力以外的其他外荷载(柱传下的力矩、柱间分布荷载等)是作用在梁上的荷载。

(4)进行连续梁分析,可用弯矩分配法、连续梁系数表等方法。

(5)按求得的内力进行梁截面设计。肋梁的配筋计算与一般的钢筋混凝土T形截面梁相仿,即对跨中按T形、对支座按矩形截面计算。当柱荷载对单向条形基础有扭矩作用时,应作抗扭计算。

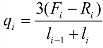
(6)翼板的内力和截面设计与扩展基础相同。由于计算简图中地基反力呈直线分布的假设及视柱脚为不动铰支座都可能与事实不符,另外上部结构的整体刚度对基础整体弯矩有抑制作用,使柱荷载的分布均匀化。因此采用倒梁法计算时,计算所得的支座反力一般不等于原有的柱子传来的轴力。若支座反力与相应的柱轴力相差较大(如相差20%以上),可采用实践中提出的“基底反力局部调整法”加以调整。即将不平衡力(柱轴力与支座反力的差值)均匀分布在支座附近的局部范围(一般取1/3的柱跨)上再进行连续梁分析,将结果叠加到原先的分析结果上,如此逐次调整直到不平衡力基本消除,从而得到梁的最终内力分布。经调整后不平衡力将明显减小,一般调整1~2次即可。如图7.29所示,连续梁共有n个支座,第i支座的柱轴力为Fi,支座反力为Ri,左右柱跨分别为li-1和li,则调整分析的连续梁局部分布荷载强度qi为:

边支座(i=1或i=n):

中间支座(1<i <n):

当qi为负值时,表明该局部分布荷载应是拉荷载,例如图7.29中的q2和q3

图7.29 基底反力局部调整法

倒梁法只进行了基础的局部弯曲计算,而未考虑基础的整体弯曲。实际上在荷载分布和地基都比较均匀的情况下,地基往往发生正向挠曲,在上部结构和基础刚度的作用下,边柱和角柱的荷载会增加,内柱则相应卸载,条形基础端部的基底反力要大于按直线分布假设计算得到的基底反力值。为此,较简单的做法是将边跨的跨中和第一内支座的弯矩值按计算值再增加20%进行基础截面配筋计算。