1
土力学与地基基础
1.10.5.1 7.5.1 按持力层地基承载力计算
7.5.1 按持力层地基承载力计算

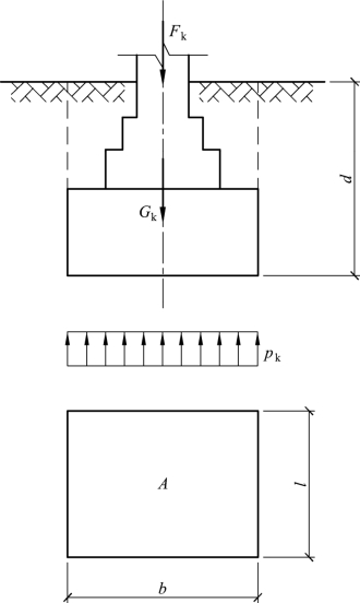
上部结构作用在基础顶面处的荷载有(图7.14):轴心荷载。

图7.14 中心荷载作用下的基础

1.轴心荷载作用

在轴心荷载作用下,基础通常对称布置。假设基底压力按直线分布。这个假设,对于地基比较软弱、基础尺寸不大而刚度较大时是合适的,对于基础尺寸不大的其他情况也是可行的。此时,基底平均压力设计值p(kPa)可按下列公式确定:

式中 Fk——上部结构传至基础顶面的竖向力设计值(kN);

Gk——基础自重设计值和基础上的土重标准值(kN);

A——基础底面面积(m2);

γG——基础及其上的土的平均厚度,通常取Gγ≈20 kN/m3

d——基础埋深(m),对于室内外地面有高差的外墙、外柱,取室内外平均埋深。

按地基承载力计算时,要求满足下式:

式中 fa——地基承载力设计值(kPa)。

由式(7.9)和(7.10)可得基础底面积:

对单独基础,轴心荷载作用下常采用方形基础,式(7.11)可变为

对条形基础,沿基础长度方向取1 m作为计算单元,式(7.11)可变为

式中 b——条形基础基底宽度。

需要说明,按式(7.11)、式(7.12)和式(7.13)计算时,承载力特征值fa只能先按基础埋深d确定。待基底尺寸算出之后,再看基底宽度b是否超过3.0 m,若b>3.0 m时,需重新修正承载力特征值,再验算基底尺寸是否满足地基承载力要求。

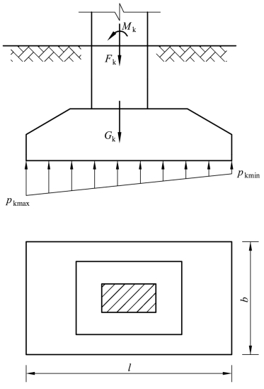
2.偏心受压基础

当作用在基底形心处的荷载不仅有竖向荷载,而且有力矩或水平力存在时,为偏心受压基础(如图7.15所示)。偏心荷载作用下基底压力分布仍假设为线性分布,基底压力除应满足式(7.10)的要求,尚应满足以下附加条件:

为了保证基础不致过分倾斜,一般要求偏心距e应满足e≤l/6。l为偏心受压基础力矩作用方向的边长,即要求pkmin>0,以控制基底压力呈梯形分布,防止基础过分倾斜。在中、高压缩性地基上的基础,或有吊车的厂房柱基础,e不宜大于l/6;对低压缩性地基上的基础,当考虑短暂作用的偏心荷载时,e可放宽至l/4。

图7.15 偏心受压基础

偏心受压基础基底面积的确定,通常是根据轴心受压基础底面积的公式(7.11)并增大底面积(考虑力矩作用)进行试估,再验算承载力,直到满足为止。其算法步骤如下:

(1)进行深度修正,初步确定修正后的地基承载力特征值。

(2)根据荷载偏心情况,将按轴心荷载作用计算得到的基底面积增大10%~40%以确定础底面积A。

(3)确定b、l的尺寸,对单独基础,常取l/b≈1.5,l/b不宜大于3,以保证基础的侧向稳定。

(4)计算基础基底压力、偏心距e和基底最大压力pkmax,并验算是否满足式(7.15)和e≤l/6的要求。

(5)若b、l取值不满足要求,可调整尺寸再行验算,如此反复一二次,便可定出合适的尺寸。

【例题7.1】试确定图7.16 所示的某框架柱下基础底面尺寸。

【解】(1)试估基础底面积。深度修正后的持力层承载力特征值:

由于力矩较大,底面尺寸可取大些,取b=3.0 m,l=4.0 m。

图7.16 例题7.1某框架柱基础

(2)计算基底压力。

验算持力层承载力。

pk=173.3kPa<fa=224.8kPa

pkmax=310.8kPa>1.2fa=1.2×224.8=269.8kPa

不满足要求。

重新调整基底尺寸,再验算,取b=4.5 m,则

取b=3.0 m,l=4.5 m,满足要求。对带壁柱的条形基础底面尺寸的确定,取壁柱间距离l作为计算单元长度(如图7.17所示)。通常壁柱基础宽度和条形基础宽度一样,均为b;壁柱基础凸出墙基础的部分长度a可近似取壁柱突出墙面的距离。

图7.17 带壁柱墙基础计算单元