1
土力学与地基基础
1.9.5.3 6.5.3 填土中有地下水
6.5.3 填土中有地下水

当墙后土体中有地下水存在时,墙体除受到土压力的作用外,还将受到水压力的作用。通常所说的土压力是指土粒有效应力形成的压力,其计算方法是地下水位以下部分采用土的有效重度γ′计算,水压力按静水压力计算。但在实际工程中计算墙体上的侧压力时,考虑到土质条件的影响,可分别采用“水土分算”或“水土合算”的计算方法。所谓“水土分算”法是将土压力和水压力分别计算后再叠加的方法,这种方法比较适合渗透性大的砂土层情况;“水土合算”法在计算土压力时则将地下水位以下的土体重度取为饱和重度,水压力不再单独计算叠加,这种方法比较适合渗透性小的黏性土层情况。

【例题6.4】某挡土墙的墙背垂直、光滑,墙高7.0 m,墙后两层填土,性质如图6.16所示,地下水水位在填土表面下3.5 m处与第二层填土面齐平。填土表面作用有q=100 kPa的连续荷载。试求作用在墙体的主动土压力和水压力的大小。

图6.16 例题6.4计算图

【解】依本题所给条件,可按朗肯理论计算。

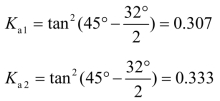
(1)求二层土的主动土压力系数Ka1和Ka2

(2)求墙背A、B、C三点的土压力强度。

A点:z=0,paA=qKa1=100×0.307=30.7 kPa

B点:分界面以上,h1=3.5 m,γ1=16.5 kN/m3

分界面以下:

C点:h2=3.5 m,2γ′=19.25-10=9.25 kN/m3

A、B、C三点土压力分布图见计算简图6.17(b)。

图6.17 计算图

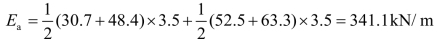
(3)求主动土压力Ea

作用于挡土墙上的总土压力,即为土压力分布面积之和,故

(4)求水压力Ew

C点的水压力强度为:

pwc=γwh2=10×3.5=35kPa

水压力合力为:

水压力分布图见计算简图6.17(c)所示。