-
1.1前言
-
1.2目录
-
1.3绪论
-
1.3.10.1 土力学与地基及基础概述
-
1.3.20.2 本学科的重要性
-
1.3.30.3 学科发展概况
-
1.3.40.4 本课程的特点、内容与学习要求
-
1.41 土的物理性质及工程分类
-
1.4.11.1 概述
-
1.4.21.2 土的成因及组成
-
1.4.2.11.2.1 土的成因
-
1.4.2.21.2.2 土的物质组成
-
1.4.2.31.2.3 土的结构与构造
-
1.4.31.3 土的三相比例指标
-
1.4.3.11.3.1 实测指标
-
1.4.3.21.3.2 计算指标
-
1.4.3.31.3.3 土的实测指标与计算指标间的关系
-
1.4.41.4 土的物理特征
-
1.4.4.11.4.1 无黏性土的密实度
-
1.4.4.21.4.2 黏性土的稠度和可塑性
-
1.4.4.31.4.3 黏性土的灵敏度
-
1.4.51.5 地基土(岩)的工程分类
-
1.4.5.11.5.1 岩石与岩体的工程分类
-
1.4.5.21.5.2 碎石土、砂土、粉土和黏性土的工程分类
-
1.4.5.31.5.3 特殊土的工程分类
-
1.52 土中的应力
-
1.5.12.1 概述
-
1.5.22.2 土中自重应力计算
-
1.5.32.3 基底压力
-
1.5.3.12.3.1 中心荷载下的基底应力
-
1.5.3.22.3.2 偏心荷载下的基底应力
-
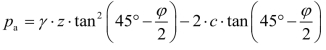
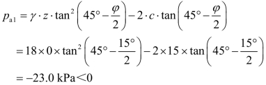
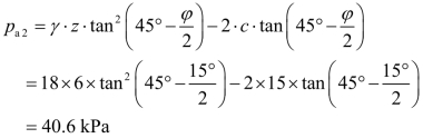
1.5.3.32.3.3 基底附加应力
-
1.5.42.4 地基中的附加应力
-
1.5.4.12.4.1 铅直荷载作用下的附加应力
-
1.5.4.22.4.2 铅直均布荷载作用任意点下的附加应力
-
1.5.4.32.4.3 圆形基础底面铅直均布荷载作用下中心点及边缘下的附加应力
-
1.5.4.42.4.4 条形基底铅直均布荷载作用下地基中的附加应力
-
1.5.52.5 地基的非均匀性与各向异性对附加应力的影响
-
1.63 土的压缩性和地基沉降计算
-
1.6.13.1 概述
-
1.6.23.2 土的压缩性
-
1.6.2.13.2.1 基本知识
-
1.6.2.23.2.2 室内压缩试验与压缩性指标
-
1.6.2.33.2.3 土压缩性的原位测试
-
1.6.33.3 地基最终沉降量计算
-
1.6.3.13.3.1 分层总和法
-
1.6.3.23.3.2 规范法
-
1.6.3.33.3.3 地基沉降与时间的关系
-
1.6.43.4 建筑物的变形观测
-
1.6.4.13.4.1 建筑物的沉降观测
-
1.6.4.23.4.2 地基允许变形值
-
1.6.4.33.4.3 工程实例
-
1.74 土的抗剪强度与地基承载力
-
1.7.14.1 概述
-
1.7.24.2 土体抗剪强度的库仑定律
-
1.7.34.3 土体的极限平衡状态和条件
-
1.7.3.14.3.1 土中一点的应力状态
-
1.7.3.24.3.2 土的极限条件
-
1.7.44.4 土的抗剪强度指标的测定
-
1.7.4.14.4.1 直接剪切试验
-
1.7.4.24.4.2 三轴剪切试验
-
1.7.4.34.4.3 无侧限抗压强度试验
-
1.7.4.44.4.4 十字板剪切试验
-
1.7.54.5 地基的临塑荷载和临界荷载
-
1.7.5.14.5.1 概述
-
1.7.5.24.5.2 地基的临塑荷载Pcr和临界荷载Pu
-
1.7.64.6 地基的极限承载力
-
1.7.6.14.6.1 普朗特公式
-
1.7.6.24.6.2 太沙基公式
-
1.85 工程地质勘察
-
1.8.15.1 概述
-
1.8.25.2 工程地质的基本知识
-
1.8.2.15.2.1 地质作用
-
1.8.2.25.2.2 地质年代
-
1.8.35.3 地下水
-
1.8.3.15.3.1 地下水对工程的影响
-
1.8.3.25.3.2 地下水分类
-
1.8.3.35.3.3 土的渗透性
-
1.8.45.4 工程地质勘察的任务和内容
-
1.8.4.15.4.1 工程地质勘察的任务
-
1.8.4.25.4.2 工程地质勘察等级
-
1.8.4.35.4.3 工程地质勘察阶段的划分及基本要求
-
1.8.4.45.4.4 工程地质勘察的基本程序
-
1.8.55.5 工程地质勘察的方法
-
1.8.5.15.5.1 工程地质测绘
-
1.8.5.25.5.2 工程地质勘探
-
1.8.5.35.5.3 工程地质原位测试
-
1.8.5.45.5.4 工程地质现场监测
-
1.8.65.6 工程地质勘察报告
-
1.8.6.15.6.1 工程地质勘察报告的主要内容
-
1.8.6.25.6.2 工程地质勘察报告的阅读与使用
-
1.96 土压力和土坡稳定
-
1.9.16.1 概述
-
1.9.26.2 挡土墙上土压力
-
1.9.36.3 朗肯土压力计算
-
1.9.3.16.3.1 基本原理
-
1.9.3.26.3.2 主动土压力
-
1.9.3.36.3.3 被动土压力
-
1.9.46.4 库仑土压力计算
-
1.9.4.16.4.1 主动土压力
-
1.9.4.26.4.2 被动土压力
-
1.9.56.5 工程中常见情况的土压力计算
-
1.9.5.16.5.1 土表面作用有连续均布荷载
-
1.9.5.26.5.2 墙后有成层填土
-
1.9.5.36.5.3 填土中有地下水
-
1.9.66.6 土坡稳定性分析
-
1.9.6.16.6.1 土坡稳定的意义与影响因素
-
1.9.6.26.6.2 简单土坡稳定分析
-
1.107 天然地基上的浅基础设计
-
1.10.17.1 概述
-
1.10.1.17.1.1 地基计算的设计等级
-
1.10.1.27.1.2 地基基础的设计原则、荷载取值与设计内容
-
1.10.27.2 浅基础分类
-
1.10.2.17.2.1 按基础材料分类
-
1.10.2.27.2.2 按受力分类
-
1.10.37.3 基础埋置深度的确定
-
1.10.3.17.3.1 建筑物的有关条件
-
1.10.3.27.3.2 工程地质条件及水文地质条件
-
1.10.3.37.3.3 相邻建筑物基础埋深的影响
-
1.10.3.47.3.4 土的冻胀影响
-
1.10.47.4 地基承载力的确定
-
1.10.4.17.4.1 根据地基强度理论公式确定地基承载力
-
1.10.4.27.4.2 根据荷载试验确定地基承载力标准值
-
1.10.4.37.4.3 根据经验确定地基承载力
-
1.10.57.5 基础底面尺寸的确定
-
1.10.5.17.5.1 按持力层地基承载力计算
-
1.10.5.27.5.2 软弱下卧层承载力验算
-
1.10.67.6 扩展基础设计
-
1.10.6.17.6.1 无筋扩展基础设计
-
1.10.6.27.6.2 墙下钢筋混凝土条形基础设计
-
1.10.6.37.6.3 柱下钢筋混凝土单独基础设计
-
1.10.77.7 柱下条形基础
-
1.10.7.17.7.1 构造要求
-
1.10.7.27.7.2 内力的简化计算
-
1.10.87.8 筏板基础
-
1.10.8.17.8.1 概述
-
1.10.8.27.8.2 筏板基础设计要求
-
1.10.8.37.8.3 筏板基础设计
-
1.10.97.9 减轻不均匀沉降危害的措施
-
1.10.9.17.9.1 建筑措施
-
1.10.9.27.9.2 结构措施
-
1.10.9.37.9.3 施工措施
-
1.118 桩基础
-
1.11.18.1 概述
-
1.11.28.2 桩基础的分类和构造
-
1.11.2.18.2.1 按荷载传递方式分类
-
1.11.2.28.2.2 按施工方法分类
-
1.11.2.38.2.3 按材料分类
-
1.11.2.48.2.4 按承台位置分类
-
1.11.38.3 单桩竖向承载力特征值的确定
-
1.11.3.18.3.1 单桩竖向承载力特征值
-
1.11.3.28.3.2 桩的静载荷试验
-
1.11.3.38.3.3 经验参数法
-
1.11.48.4 单桩的水平承载力特征值
-
1.11.4.18.4.1 水平荷载作用下桩的破坏机理
-
1.11.4.28.4.2 弹性单桩内力和位移分析计算
-
1.11.4.38.4.3 横向静载荷试验
-
1.11.58.5 桩基础设计
-
1.11.5.18.5.1 群桩效应
-
1.11.5.28.5.2 竖向承载力设计
-
1.11.5.38.5.3 群桩的抗拔力
-
1.11.5.48.5.4 群桩的水平承载力
-
1.11.68.6 其他基础简介
-
1.11.6.18.6.1 沉 井
-
1.11.6.28.6.2 地下连续墙
-
1.129 地基处理
-
1.12.19.1 概述
-
1.12.29.2 常见不良地基土及其特点
-
1.12.2.19.2.1 软黏土
-
1.12.2.29.2.2 杂填土
-
1.12.2.39.2.3 冲填土
-
1.12.2.49.2.4 饱和松散砂土
-
1.12.2.59.2.5 湿陷性黄土
-
1.12.2.69.2.6 膨胀土
-
1.12.2.79.2.7 含有机质土和泥炭土
-
1.12.2.89.2.8 山区地基土
-
1.12.2.99.2.9 岩溶(喀斯特)
-
1.12.39.3 置换法
-
1.12.3.19.3.1 换填法
-
1.12.3.29.3.2 振冲置换法
-
1.12.3.39.3.3 夯(挤)置换法
-
1.12.49.4 压实与夯实法
-
1.12.4.19.4.1 强夯地基
-
1.12.4.29.4.2 重锤夯实地基
-
1.12.59.5 挤密法
-
1.12.5.19.5.1 振冲法
-
1.12.5.29.5.2 沉管砂石桩(碎石桩、灰土桩、OG桩、低标号桩等)
-
1.12.5.39.5.3 夯击碎石桩(块石墩)
-
1.12.69.6 地基局部处理及其他加固方法简介
-
1.12.6.19.6.1 地基局部处理
-
1.12.6.29.6.2 其他地基加固方法简介
-
1.1310 区域性地基
-
1.13.110.1 软土地基
-
1.13.1.110.1.1 软土及其分布
-
1.13.1.210.1.2 软土的工程特性及其评价
-
1.13.1.310.1.3 软土地基的工程措施
-
1.13.210.2 湿陷性黄土地基
-
1.13.2.110.2.1 黄土的特征
-
1.13.2.210.2.2 湿陷发生的原因和影响因素
-
1.13.2.310.2.3 湿陷性黄土地基的评价
-
1.13.2.410.2.4 湿陷性黄土地基的工程措施
-
1.13.310.3 膨胀土地基
-
1.13.3.110.3.1 膨胀土的特性
-
1.13.3.210.3.2 膨胀土地基的勘察与评价
-
1.13.3.310.3.3 膨胀土地基的工程措施
-
1.13.410.4 冻土地基
-
1.13.4.110.4.1 季节性冻土基础工程
-
1.13.4.210.4.2 多年冻土地区基础工程
-
1.13.510.5 山区地基
-
1.13.5.110.5.1 岩 溶
-
1.13.5.210.5.2 土洞地基
-
1.13.5.310.5.3 滑 坡
-
1.13.610.6 地震区的地基基础问题
-
1.13.6.110.6.1 地震的概念
-
1.13.6.210.6.2 地基基础抗震设计原则
-
1.14参考文献

。





