1
土力学与地基基础
1.7.6.2 4.6.2 太沙基公式
4.6.2 太沙基公式

在推导公式时,太沙基考虑:① 地基土有重量;② 基底粗糙;③ 不考虑基底以上填上的抗剪强度,把它仅看成作用在基底水平面上的超载;④ 在极限荷载作用下基础发生整体剪切破坏;⑤ 假定地基中滑动面的形状如图4.14所示。

图4.14 太沙基理论下的分区

I区——由于基底与土之间有摩擦力阻止发生剪切位移,因此,当地基达到破坏并出现连续滑动面时,基底下有一部分土体将随着基础一起向下移动而处于弹性平衡状态,该部分土体称为弹性楔体,如图4.14所示的I区。此区的土不易发生剪切位移,而处于压密状态,边界αb(或ab′)与水平面夹角ψ取决于基底粗糙程度。当假定基底完全粗糙时,ψ=φ,一般情况,φ<ψ<45°+

Ⅱ区——滑动面假定由对数螺旋线和直线组成。

Ⅲ区——滑动面cd(或c′d)成直线,与水平面成45°-,此区为被动朗肯区。

取弹性楔体aba′为脱离体,其上作用的力有

(1)总的极限荷载Pu=pub。

(2)弹性楔体aba′的自重W=γb2tanψ。

(3)弹性楔体斜面ab和ab′作用的黏聚力在竖直方向的分力,其值分别为

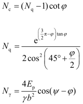
(4)Ⅱ、Ⅲ区土体滑动时,产生作用于斜面ab和ab′的被动土压力Ep,EP方向与斜面法线成φ角,在竖直方向的分力为Ep=cos(ψ-φ)。

上述各力在竖直方向上列静力平衡方程得

太沙基假定上式中Ep是当γ=q=0时由土的黏聚力c引起的Epc,当γ=c=0时基础两侧超载q引起Epq,当q=c=0时仅由土的重度γ引起Epr,这三部分之和。可表示为

将式(4.20)代入式(4.21)并经整理后得地基极限承载力

式中 Nγ,Nq,Nc——承载力系数,可按下式计算,或查表。

因为Nγ值受ψ值影响,而ψ值又与基底粗糙程度有关,使Nγ计算相当复杂,见图4.15。

图4.15 φ与Nc、Nq、Nr关系图

式(4.22)是在整体剪切破坏条件下得到的,适用于压缩性较小的土。对疏松的或压缩性较大的土,可能会发生局部剪切破坏。太沙基建议采用降低土的抗剪强度指标的方法对式(4.22)加以修正,即取

修正后的地基极限承载力公式为

式中相当于局部剪切破坏情况的承载力系数。根据降低后的内摩擦角φ,仍可查表得到。

上述公式(4.23)和(4.22)只适用于条形基础。对于方形和圆形基础,太沙基建议按下列公式计算地基的极限承载力:

方形基础(宽度为b)

整体剪切破坏

局部剪切破坏

圆形基础(半径为b)

整体剪切破坏

局部剪切破坏

对于矩形基础(宽度为b,长度为l),可近似按b/l值,在条形基础(b/l=0)与方形基础(b/l=1)的承载力之间用插值法求得。

思考题

4.1 何谓土体的抗剪强度?为什么要研究土体的抗剪强度?

4.2 库仑定律说明土的抗剪强度与哪些因素有关?

4.3 砂土与黏土的抗剪强度规律有何不同?

4.4 试说明土的内摩擦角和黏聚力的含义。

4.5 何谓土的极限平衡状态和极限平衡条件?

4.6 地基的临塑荷载和塑性荷载的概念是什么,工程上有何实用意义?

4.7 地基破坏的形式有几种?各有何特点?

4.8 地基土的重度、基础宽度、埋深与土的强度指标对地基承载力有何影响?

4.9 何谓地基的极限荷载和极限承载力?本章所介绍的几个极限荷载公式各有何特点?

习题

4.1 某干砂进行直剪试验。当σ=300 kPa,测得τf=200 kPa,求:

(1)砂的内摩擦角;

(2)破坏时的大、小主应力;

(3)大、小应力与剪切面所成的角度。

4.2 以某土样进行三轴剪切试验,剪破时σ1=500 kPa,σ3=100 kPa,破裂面与大主应力面成60°,试绘极限应力圆,求出c、φ值,并计算剪破面上的法向应力和剪应力。

4.3 建筑物地基土某点的应力为σz=250 kPa,σx=100 kPa,τzx=40 kPa,并知土的φ=30°,c=0,问该点是否剪破?又如σz和σx不变,τzx增至60 kPa,则该点又如何?

4.4 一条形基础,底宽b=3 m,埋置在中密砂土层以下1 m处。地下水位位于基底处。砂土的内摩擦角φ=45°,γ=18 kN/m3,γsat=19 kN/m3。试用太沙基公式求地基极限承载力。若基础宽度增加到6 m,问地基极限承载力为多少?若埋深增加到2 m,地基极限承载力又为多少?若地下水位上升至地面,地基极限承载力如何变化?