1
土力学与地基基础
1.7.4.4 4.4.4 十字板剪切试验
4.4.4 十字板剪切试验

十字板剪切仪构造如图4.10所示。十字板剪切试验可在现场钻孔内进行,免去了室内试验中试样的采取、运送、保存制备等环节,减少对试样的扰动。因此,适用于高灵敏度的黏土和难于取样的土。

图4.10 十字板剪切仪

试验时将套管打到预定深度,然后将套管内土清除。将装在钻杆下端的十字板通过套管压入土中,压入深度约为750 mm,再在地面上以一定转速对钻杆施加扭力矩,使埋在土中的十字板扭转,直至土剪切破坏。破坏面为十字板旋转所形成的圆柱面。

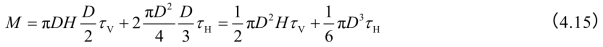
由于剪破面为一圆柱面,圆柱的直径和高等于十字板的宽度和高度,则剪切时所施加的扭矩M应与剪切圆柱体侧面、上下端面的抗剪强度所产生的抵抗力矩相等,即

式中 M——剪切破坏时的扭力矩(kN·m);

τV,τH——剪切破坏时的圆柱体侧面和上下面土的抗剪强度(kPa);

H——十字板高度(m);

D——十字板宽度(m)。

试验结果表明天然土层的抗剪强度是非等向的,即水平面上的抗剪强度大于垂直面上的抗剪强度。这主要是由于水平面上的固结压力大于侧向固结压力的缘故。但在实用上为简化计算,常规试验中仍假设τVHf,因而由式(4.15)可得土的抗剪强度为

式中 τf——在现场由十字板测定的土的抗剪强度(kPa)。

对于饱和软黏土,由于φn=0,因此用十字板测得的抗剪强度τf相当于土的排水剪切试验,其结果与无侧限抗压强度试验结果接近,即

十字板剪切仪适用于饱和软黏土(φ=0),它的优点是构造简单,操作方便,原位测试时对土扰动较小,故在实际中得到广泛应用。