1
土力学与地基基础
1.7.3.2 4.3.2 土的极限条件
4.3.2 土的极限条件

如果土体的抗剪强度曲线和土中某点的应力圆已知,则可根据两者在同一坐标图上的关系来确定该点所处的应力状态,如图4.4以判断土体是否达到破坏。

(1)莫尔圆1位于抗剪强度曲线之下,表示该点任一平面上的剪应力都小于它的抗剪强度,即τ<τf,因此不会发生剪切破坏。

(2)莫尔圆2与抗剪强度曲线相切,表示已有一对平面上剪应力达到了它的抗剪强度,即τ=τf,因而处于极限平衡状态,此时的莫尔圆称为极限应力圆。

(3)莫尔圆3与抗剪强度曲线相割,表示该点某些平面上的剪应力已大于土的抗剪强度,即τ>τf,土体已被剪破。实际上这种应力状态不可能存在,因为在此之前,该点早已沿某一平面剪破了,剪应力不可能超过土的抗剪强度。

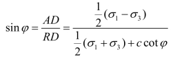
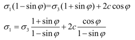
根据极限应力圆与抗剪强度相切于一点的几何关系,可建立黏性土和无黏性土的极限平衡条件。土中一点的极限平衡条件,是指当该点处于极限平衡状态时其应力与抗剪强度的关系。对于黏性土,由图4.4中几何关系可知:

图4.4 莫尔应力圆

经整理得:

改写上式:

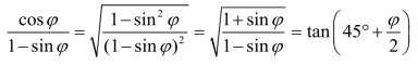
利用三角函数公式

则有

又有

对无黏性土,因为c=0,由式(4.7),(4.8)和(4.9)得:

当土中一点应力达极限平衡状态时,破裂面与大主应力面关系由图4.4可知,破裂角fα为:

由上述可知,土的极限平衡条件是土体强度理论的基础。运用极限平衡条件可以判断土体中任一点是否会剪破。在一般情况下,破坏面不发生在最大剪应力作用面(α=45°)上(因该面上的抗剪强度更大),而是发生在莫尔圆与抗剪强度曲线相切的切点所代表的斜面上,即与大主应力面成α=±(45°+φ/2)夹角的斜面上。

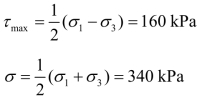
【例题4.1】砂土地基中某点,其最大剪应力及相应的法向应力分别为160 kPa和340 kPa。若该点发生剪切破坏,试求:(1)该点的大、小主应力;(2)砂土的内摩擦角;(3)破坏面上的法向应力和剪应力。

【解】(1)该点的大小主应力

因为

所以 σ1=500kPa,σ3=180kPa

(2)当该点发生剪切破坏时,由式(4.10)有

所以 φ=28°

(3)破坏面上的法向应力和剪应力

【例题4.2】已知地基中某点剪切破坏时的大主应力σ1=400 kPa,小主应力σ3=76 kPa,地基土内摩擦角φ=30°,黏聚力c=50 kPa,求:(1)破坏面上的法向应力和剪应力;(2)为什么破坏面不发生在最大剪应力的作用面上?

【解】破坏面与大主应力作用面夹角为

由式(4.4)、(4.5)得破坏面上法向应力和剪应力

在最大剪应力面上α=45°

在最大剪应力面上剪应力为162 kPa,而该点上抗剪强度为187.4 kPa,即fτ>1τ,故在最大剪应力面上不发生剪切破坏。