1
金融学
1.11.2.3 三、中央银行对货币供给的控制
三、中央银行对货币供给的控制

当我们在存款货币的创造机制中引入中央银行这一行为主体时,就能够理解形成商业银行派生存款基础是原始存款。从整个银行体系来看,原始存款有可能来源于社会公众的现金存入,也可能直接来源于中央银行存款准备金的变动。社会公众手中的现金是由中央银行发行的,法定存款准备金比率也是由中央银行决定的,因此,中央银行控制着派生存款的源头。

(一)基础货币

流通于银行体系之外的现金与银行存款准备金(包括库存现金、法定存款准备金以及超额准备金)被称为基础货币,构成信用货币创造的基础。基础货币可用下式表示为:

img

式中,B 表示基础货币;C 表示流通于银行体系以外的现金,也就是流通中的通货;R 表示商业银行保有的存款准备金,包括准备存款与库存现金。

基础货币直接表现为中央银行的负债。中央银行创造和提供的基础货币与商业银行创造存款货币的关系是一种源与流的关系,扩大资产业务不以负债的增加为前提是中央银行特有的权利。中央银行任何资产业务的扩张均会有商业银行存款准备和通货发行与之相对应。表9-5 是我国中央银行2018 年11 月至2019 年11 月14 日的货币净投放情况。

表9-5 中国人民银行货币净投放

img

数据来源:中国人民银行官网。

中央银行通过资产业务向银行体系提供基础货币的途径有以下几种。

1. 购买政府债券

当中央银行从商业银行手中购买债券时,商业银行要么增加在中央银行的准备金存款,要么增加库存现金。由此,商业银行体系增加了基础货币。当中央银行是向非银行社会公众购买债券,要么增加流通中的现金,要么增加银行体系的存款,进而增加银行在中央银行的存款准备金。因此,无论中央银行是向商业银行或向非银行部门购买政府债券都增加了基础货币的供应。

2. 再贷款及再贴现

中央银行通过向商业银行提供信贷支持的方式可以直接影响基础货币。当中央银行向商业银行提供再贷款或者再贴现时,商业银行体系的储备存款相应增加,基础货币增加。当商业银行归还中央银行的贷款时,商业银行体系储备存款相应减少,基础货币收缩。

3. 政府贷款或者透支

在有些国家,当财政部的支出超过了它在中央银行存款账户上的余额时,其差额自动转成中央银行对财政部的贷款。在另外一些国家,财政部不能直接向中央银行透支,但是可以向中央银行申请贷款。这两种方式都会造成中央银行资产业务规模的扩大,引起基础货币的增加。通常由这种中央银行对政府赤字融资而导致的货币供应增加被称为债务货币化。

4. 买卖黄金或外汇储备

购买黄金、外汇是中央银行投放基础货币的重要渠道。相对于外汇而言,中央银行的黄金买卖业务不是很频繁,一国的黄金储备比较稳定。而外汇市场是一个波动性很强的市场,一国在既定的外汇政策之下,中央银行负有稳定汇率的职责,通过买卖外汇干预汇率是中央银行经常采取的策略。中央银行在外汇市场上买进外汇就意味着本币的投放和基础货币的增加,而中央银行卖出外汇时,基础货币又会减少。

中央银行可以不受负债业务的束缚来扩张资产业务,提供基础货币。但是这种行为最终仍然要受到货币需求的制约。如果企业部门缺乏贷款意愿,商业银行不需要补充存款准备,中央银行的资产扩张就不能实现,如果强行扩张则会带来通货膨胀的后果。

(二)货币乘数

基础货币是货币供给的基础,通过商业银行的存款货币创造,可以引出数倍于自身的货币供给量。把货币供给量与基础货币相比,其比值就是货币乘数。现代信用制度下货币供应量的决定因素主要有两个:一是基础货币(B),二是货币乘数(m)。货币供给量(Ms)可用下式表示:

img

基础货币是由流通中的现金C 和存款准备金R 构成,即B = C +R 。社会上全部货币量是由现金C 和存款货币D 构成,即Ms = C +D ,所以有:

img

如果在上式分子分母同时除以D,则有:

img

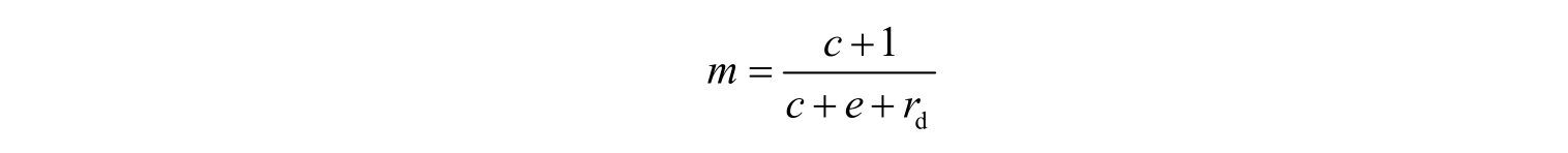
上式中C/D 就是流通中的现金与存款货币之比,也就是现金漏损率c,R/D 就是存款准备金与存款货币之比,也就是存款准备金率,包括法定存款准备金率rd 和超额存款准备金率e。这样,上面的公式就变形为:

img

也就是说,货币乘数的大小由c、e、rd 共同决定。假如, rd =10%,e=5%,c=5%,那么有:

img

如果中央银行投放1 元的基础货币,那么引起货币供给量增加5.25 元。

课后练习题

一、单选题

1. 在我国的货币层次划分中,未包括在M1 中,却包括在M2 中的是(  )。

A. 支票存款   B. 流通中的现金

C. 单位活期存款   D. 单位定期存款

2. 假设法定存款准备金率为10%,超额存款准备金率为5%,流通中的现金40 亿美元,存款总量为150 亿美元,则基础货币为(  )亿美元。

A. 28.5  B. 55.5  C. 62.5  D. 90.0

3. 认为货币供给是外生变量,由中央银行直接控制,货币供给独立于利率的变动,该观点源自(  )。

A. 货币数量论   B. 古典利率理论

C. 可贷资金理论   D. 流动性偏好理论

4. 商业银行的存款准备金加流通中的现金等于(  )。

A. 基础货币   B. 库存现金

C. 法定存款准备金   D. 超额准备金

5. 根据凯恩斯的货币政策传导机制理论,货币政策增加国民收入的效果取决于投资和货币需求的利率弹性,其中,增加货币供给,能导致国民收入增长较大的组合是(  )。

A. 投资的利率弹性小,货币需求的利率弹性大

B. 投资的利率弹性大,货币需求的利率弹性小

C. 投资和货币需求的利率弹性都大

D. 投资和货币需求的利率弹性都小

6. 假定我国流通的货币现金为5 万亿元,法定准备金为20 万亿元,超额准备金为3 万亿元,则我国的基础货币为(  )万亿元。

A. 18  B. 23  C. 25  D. 28

7. 假定我国流通中现金为5 万亿元,单位活期存款为40 万亿元,则我国的狭义货币供应量为(  )万亿元。

A. 8  B. 35  C. 45  D. 200

8. 假定某商业银行原始存款增加1 000 万元,法定准备金率为20%,超额准备金率为2%,现金漏损率为5%,则派生存款总额为(  )万元。

A. 5 000  B. 4 000  C. 4 546  D. 3 704

9. 假定金融机构的法定准备金率为20%,超额准备金率为2%,现金漏损率为3%。则存款乘数为(  )。

A. 4.00  B. 4.12  C. 5.00  D. 20.00

10. 存款创造具体表现为商业银行以(  )为基础、在银行体系中繁衍出数倍于它的派生存款。

A. 原始存款 B. 存款总额 C. 基础货币 D. 准备金存款

11. 根据费雪方程式,如果一国货币总量为150,价格水平为2,各类商品的交易数量为300,则该国的货币流通速度是(  )。

A. 0.25  B. 1  C. 4  D. 5

12. 下列不属于弗里德曼认为影响货币需求的诸因素是(  )。

A. 实物资产收益率

B. 货币的收益率

C. 货币以外的各种金融资产的收益率

D. 人力财富在总财富中的比率

二、简答题

1. 简述费雪方程式与剑桥方程式的相同点及主要差异。

2. 试述凯恩斯的流动性偏好理论。

3. 简述商业银行的存款货币创造过程。

4. 简述商业银行的存款货币收缩过程。