1
金融学
1.11.2.2 二、商业银行的存款货币创造过程
二、商业银行的存款货币创造过程

在商业银行体系中,存款的增加有两个渠道。

(一)原始存款

原始存款是人们以现金的形式存入商业银行,或者来自中央银行投放基础货币所形成的存款,可以理解成从商业银行体系之外进入商业银行的存款,这些存款就是原始存款。

(二)派生存款

派生存款是相对于原始存款而言的,它是指由商业银行以原始存款为基础、运用信用流通工具和转账结算的方式发放贷款或进行其他资产业务时,所衍生出来的、超过最初部分存款(原始存款)的存款,也可以理解成是从商业银行到商业银行的存款,而不是从商业银行体系外进入的存款。在银行体系中绝大多数的存款都是派生存款。

任何一笔存款都不可能被凭空创造出来,派生存款只能在银行体系内部的现实的信用活动中,通过信用流通工具的使用,以及转账结算的条件下才能形成。派生存款的产生,是银行体系业务经营过程整体运行的结果,仅仅从任何一笔单一的存贷款业务来看,都有实实在在的货币资金内容的经济行为,没有任何“创造”的痕迹。也就是说,就单个商业银行来讲,它们并不认为自己通过这种行为创造了货币。但把单个银行不认可的行为贯穿成一个系统之后,却可看到明显的质的改变:的的确确形成了存款创造的机制,而这正是现代银行体系的奥秘之处。

那么,商业银行的存款货币创造过程是如何实现的呢?下面将从商业银行创造存款货币的前提条件、商业银行的存款创造过程进行阐述。

(一)商业银行创造存款货币的前提条件

1. 法定存款准备金

在现代经济生活中,各国普遍建立起法定准备金制度,即国家以法律形式规定商业银行吸收存款之后要提留一定比例准备金存入中央银行作为应对客户提现要求的准备。法定准备金制度的建立本质上是为了防止商业银行为追求盈利过多地进行贷款,保持商业银行的清偿力和流动性,但同时也使中央银行拥有了调节商业银行信贷能力的有力工具。

中央银行规定的法定存款准备金率用rd 来表示,那么商业银行如果收到一笔100 万元的存款,就必须存入中央银行100rd 万元的法定存款准备金,多于100rd 的存款就是超额存款准备金。

商业银行进行存款货币的创造是基于部分准备金制度以及支付清算功能而展开的。商业银行并不需要为其所吸收的存款保持100%的存款准备,商业银行吸收的存款可保留部分作为存款准备,其他可以用于放贷。基于活期存款业务商业银行拥有了支付清算功能,由于支票的多次周转而不提现,商业银行才能够将贷款引申为存款,存款货币的创造才有可能。

2. 现金漏损

如果商业银行发放的贷款全部被客户提现,而且这笔现金始终被公众持有,不再存入银行,这时存款也不会有多倍的派生。故而,假设商业银行的客户不提取任何一分钱,也没有持有货币,货币都在商业银行体系之中流通。也就是说,假设现金漏损为零。

(二)商业银行的存款创造过程

商业银行利用吸收负债所获取的资金进行对外投资是商业银行的基本业务,因为负债是储户的资产,商业银行将储户的资金吸收进来后进行对外投资,从而形成银行资产,因此,商业银行将负债转化为资产的过程被称为资产转换。一般来说,储户的存款期较短,然而商业银行的贷款期较长,因此,“借短贷长”是商业银行基本业务的典型特点,“借短贷长”也是商业银行的主要收入来源。

基于上面的分析,可知在商业银行存款创造过程中,每家商业银行只保留法定存款准备金,其余都全部放贷出去,超额存款准备金为零;客户收取的一切贷款都存入商业银行,而不提取,现金漏损为零。

假如甲企业将100 万元存入A 商业银行,中央银行规定的法定存款准备金率为10%,也就是说10 万元为原始存款,法定存款准备金为100×10%=1 万元。剩余的9 万元,A 商业银行将全部放给乙企业进行原材料的购买。

这时,A 商业银行的T 型账户如表9-1 所示。

表9-1 A 商业银行的T 型账户           单位:元

img

收到原材料款项的丙企业又将9 万元,全部存入B 商业银行,这时,B 商业银行将拿出90000×10%=9000 元作为法定存款准备金,剩余的81 000 元全部放给丁企业。则B 商业银行的T 型账户如表9-2 所示。

表9-2 B 商业银行的T 型账户           单位:元

img

如果丁企业收到贷款后,全部存入C 商业银行,那么C 商业银行要拿出81000×10%=8100元作为法定存款准备金,剩余的72 900 元全部用于放贷,则,C 商业银行的T 型账户如表9-3所示。

表9-3 C 商业银行的T 型账户           单位:元

img

以此类推,如此循环下去,商业银行的存款货币创造过程如表9-4 所示。

表9-4 商业银行存款货币创造过程            单位:元

img

从表9-4 中可以知道,原始存款10 万元经过商业银行的派生之后,存款总额变为100 万元,派生存款为90 万元,法定存款准备金之和为10 万元。派生过程为:

img

如果用字母A 表示原始存款,派生的存款总额用字母D 表示,存款货币派生倍数(也叫存款乘数)用字母K 表示,法定存款准备金率用字母rd 表示,则有如下公式:

img

同时,又因为

img

所以有

img

也就是说,存款总额是原始存款与存款乘数乘积,派生存款为存款总额减去原始存款。

由此可见,整个商业银行创造存款货币的数量会受到法定存款准备金率的限制,其倍数同存款准备金率呈现一种倒数关系。但是,这只是一个简单的,或者说是一个需要修正的存款乘数。

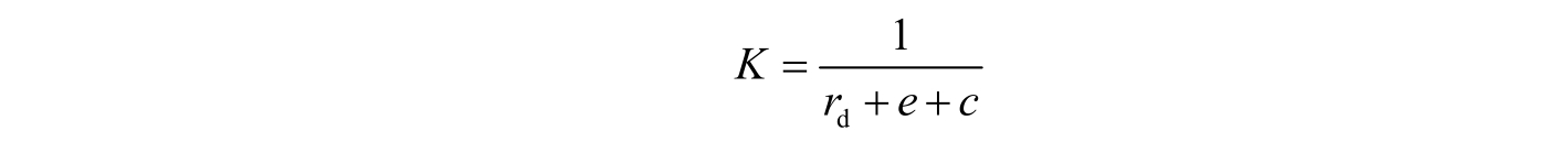
现实生活中,现金漏损都不会为零,或多或少会有资金流出商业银行体系,出现所谓的现金漏损。现金漏损与存款总额之比称为现金漏损率,出现现金漏损会减小银行创造派生存款的能力。这里用c 字母表示现金漏损率。

同时,超额存款准备金也一般不会为零,也就是说超额存款准备金率不为零,用字母 e代表。这样存款乘数的公式变为:

img

存款总额的计算公式也就变为:

img

也就是说,如果某商业银行吸收10 万元存款,然后放贷给客户,法定存款准备金为10%,超额存款准备金率为5%,现金漏损率为5%,则经过商业银行存款创造之后,存款总额为:

img

存款货币的创造过程也可以反方向作用,也就是说,派生存款的倍数原理同样适用于存款货币的消减过程,只不过方向相反,当商业银行的原始存款数量减少时,银行的存款货币会呈倍数的紧缩。