1
金融学
1.11.1.2 二、货币需求理论的发展
二、货币需求理论的发展

货币需求理论主要分析经济中哪些因素会影响到社会各个部门的货币需求量,这些因素又是如何对社会各个部门的货币需求产生影响的。

(一)货币数量论的货币需求理论

1. 费雪方程式

欧文·费雪(Fisher)于1911 年出版的《货币的购买力》一书,是货币数量论的代表作,在该书中,费雪提出了著名的“交易方程式”,也被称为费雪方程式,即:

img

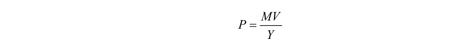
式中,M 是总货币存量;P 是价格水平;Y 为各类商品的交易数量;V 是货币流通速度,它代表了单位时间内货币的平均周转次数。该方程式表明,名义收入等于货币存量和流通速度的乘积。

上式还可以表示为:

img

这一方程式表明,物价水平的变动与流通中的货币数量的变动和货币的流通速度变动成正比,而与商品交易量的变动成反比。

费雪认为,短期里V 和Y 保持不变,所以M 的变化决定了价格水平。

一般认为,费雪方程式存在的主要问题表现在:第一,费雪方程式仅从宏观上研究全社会的货币需求量,没有考虑微观经济主体对货币需求的影响。第二,该方程式着眼于货币的流通手段职能,认为货币只是纯粹的交易工具,而忽略了货币作为贮藏财富手段的职能。第三,该方程式的假定前提是货币流通速度与商品交易量不变,而在经济生活的实践中,这两者都会或多或少发生变化。

2. 剑桥方程式

与费雪方程式不同,剑桥学派认为,处于经济体系中的个人对货币的需求,实质是选择以怎样的方式保持自己资产的问题。每个人决定持有货币多少,有种种原因,但在名义货币需求与名义收入水平之间总是保持一个较为稳定的比例关系。因此有:

img

式中,Md 为名义货币需求;Y 为总收入;P 代表价格水平;k 为以货币形式保存的财富占名义总收入的比例,这就是剑桥方程式。

费雪方程式和剑桥方程式是两个意义大体相同的模型,但是两个方程式有显著的差异,主要体现在以下三个方面:

① 对货币需求分析的侧重点不同。费雪方程式强调的是货币的交易功能,剑桥方程式侧重的是货币作为一种资产的功能。

② 费雪方程式重视货币支出的数量和速度,剑桥方程式从货币形式保有资产存量的角度考虑货币需求,重视存量占收入的比例。所以对费雪方程式也有人称之为现金交易说,而剑桥方程式则被称为现金余额说。

③ 两个方程式所强调的货币需求决定因素有所不同。费雪方程式是从宏观角度用货币数量的变动来解释价格,剑桥方程式则是从微观角度进行分析, 认为人们对于保有货币有一个满足程度的问题。

(二)凯恩斯的货币需求函数

1936 年,凯恩斯发表《就业、利息与货币通论》,分析了资本主义社会存在有效需求不足的各种原因,提出了流动性偏好概念。他从资产选择的角度来考察货币需求,更为精细地研究了个人的持币动机,发展了一种强调利率重要性的货币需求理论。

凯恩斯认为货币需求是指特定时期公众能够而且愿意持有的货币量。人们需要持有货币是因为存在流动偏好这种普遍的心理倾向,人们愿意持有现金而不愿意持有其他缺乏流动性的资产,这一流动性偏好构成了对货币的需求。因此,凯恩斯的货币需求理论又被称为流动性偏好理论。

凯恩斯对货币理论基本的贡献是从货币需求的动机入手,把人们对货币的需求分为交易动机、预防动机和投机动机三种,并将货币需求看作一种函数关系。

交易动机是指企业或者个人出于交易动机为进行日常交易而产生的货币需求。凯恩斯指出,交易性货币需求相对稳定,可以预计,对利率变化不太敏感,这部分用于交易媒介的货币需求量主要取决于收入的多少,它们之间存在稳定的比例关系。一般来说,交易动机与收入成正比,与利率无关。

预防动机是指企业或者个人出于预防或谨慎动机,为了应付可能遇到的意外支出而产生的货币愿望。预防动机也主要取决于收入水平的高低。一般来说,预防动机与收入成正比,与利率无关。

投机动机是指人们根据对市场利率变化的预测需要持有货币以便满足从中获利的动机,从而产生的对货币的需求。投机动机是货币需求三个动机中最重要也是最复杂的一个,投机动机分析是凯恩斯货币理论中最有特色的部分,它与利率成反比,与收入无关。

金融小学堂

凯恩斯的投资理念

凯恩斯的投资生涯以1919 年为分界点,可以分成两个阶段:第一阶段(1905—1919年),凯恩斯进行少量个人投资,并向朋友们提供咨询,他的交易量有限,收益主要来自储蓄。第二阶段(1919—1946 年),凯恩斯在金融市场上的投资大幅度增加,同时代客理财。这些年间,他的收入主要来自金融投资收益,只有小部分来自学术活动。

凯恩斯的投资哲学也有一个进化的过程。

在20 年代,凯恩斯把自己看成是一个科学的赌客,他在货币和期货上进行投机,想按照经济周期来玩一把。

到了1930 年代,凯恩斯形成了新的投资哲学——要牢牢地守住几只经过精心挑选的股票,在股市下跌时,一个投资者应该是买,而不是卖,找到便宜货的期望,要比屈服于大众的恐慌心理更加理性些。

他的投资生涯中总结出来的经验主要有:

(1)对几项投资进行仔细选择,考虑它们相对于今后几年的实际和潜在内在价值是否便宜,同时还要考虑到其他供投资的选择。

(2)对这几项大手笔投资稳重持股,绝不动摇,直到几年后投资收益稳操胜券或投资证明是错误时方可放手。

(3)建立一个平衡的投资组合,尽管个股持股量较大,风险却是多种多样的,如果可能只有相对风险。

凯恩斯对于股市的本质理解非常深刻,他有很多警句,比如:“在长期,我们都已经死了。”“市场保持非理性的时间,比你能支撑的时间长得多。”

凯恩斯把用于贮藏财富的资产分为货币和债券两类。货币是不生利息的资产,而债券是生利息的资产。凯恩斯在解释人们为什么不愿意持有债券而宁愿选择货币牺牲利息的理由时,认为问题在于债券未来市场价格的不确定性。选择货币而牺牲的债券利息收入就是持有货币的机会成本,利率越高,机会成本就越大,作为资产持有的货币量也就越少。因此,作为资产持有的货币量是利率的函数,两者呈现相反方向的变动。在极端的情况下,当利率水平低到所有人都认为不能再降低,它肯定将上升的时候,货币的投机性需求就变得无限大,任何新增的货币供给都会被人们所持有,而不会增加对债券的需求,也不会使利率进一步下降,这便是所谓的流动性陷阱。

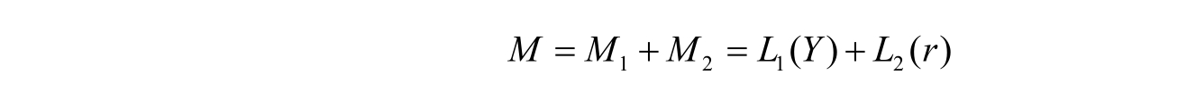
由于交易动机和预防动机所决定的货币需求取决于收入水平,投机动机的货币需求则取决于利率水平,因此,凯恩斯的货币需求函数就是:

img

式中,M1 为交易动机和预防动机所决定的货币需求,是收入Y 的函数;M2 为投机性货币需求,是利率r 的函数;L1、L2 是作为流动性偏好的函数符号。

从上述分析可以看出,凯恩斯货币需求理论的显著特点是将货币需求看作一种函数关系,并特别强调利率在决定货币需求中的作用,这对于古典货币数量学派将货币需求看作由制度和技术决定的常数,货币供给的变动只是简单地影响物价的论点而言,无疑是一个进步。

凯恩斯认为,不仅商品交易的规模与价格总额影响货币需求,而且利率变动也会影响货币需求。由于利率是货币资金市场供求状况的反映,货币供给量的变化能够迅速影响利率。所以,货币供给不仅通过价格的变动,使货币供求达到新的均衡,还通过利率的变动调节货币需求,使货币供求均衡。

资料来源:根据金融界网站《长盛基金:“股神”凯恩斯的投资传奇》整理修改

(三)弗里德曼的货币需求函数

弗里德曼是货币学派最杰出、最具影响的代表,他在1956 年发表的名作《货币数量说之重申》一文中,系统地阐述了其货币需求理论。弗里德曼理论的特色是,一方面他基本上肯定了传统货币数量说的长期结论,即货币量的变化反映于物价变动之上,或简言之,货币变动从长期而论只能影响总体经济中货币领域的名义量,如物价、名义利率、名义所得等,但不能影响实质领域的真实量,如就业、实质所得、实际利率等。另一方面他接受了剑桥学派和凯恩斯以微观主体行为作为分析起点和把货币看作受到利率影响的一种资产的观点,对于货币需求的决定问题,他用下列函数式表示:

img

式中,Md/P 为实际货币需求;y 为恒久性收入;w 为人力资本占非人力资本的比率;rm 为货币预期收益率;rb 为固定收益的债券利率;re 为非固定收益的证券利率;img为预期物价变动率;u 为随机变量。

金融小学堂

米尔顿·弗里德曼

米尔顿·弗里德曼(Milton·Friedman,1912 年7 月31 日—2006 年11 月16 日),美国著名经济学家,芝加哥大学教授、芝加哥经济学派领军人物、货币学派的代表人物,1976 年诺贝尔经济学奖得主、1951 年约翰·贝茨·克拉克奖得主。

弗里德曼被广泛誉为二十世纪最具影响力的经济学家及学者之一。弗里德曼以研究宏观经济学、微观经济学、经济史、统计学、主张自由放任资本主义而闻名。1976 年其获诺贝尔经济学奖,以表扬他在消费分析、货币供应理论及历史、和稳定政策复杂性等范畴的贡献。

弗里德曼的代表作《资本主义与自由》Capitalism and Freedom 于1962 年由芝加哥大学出版社首次出版,之后又被翻译成18 种语言出版。他在书中提倡将政府的角色最小化以让自由市场运作,以此维持政治和社会自由。他的政治哲学强调自由市场经济的优点,并反对政府的干预。他的理论成了自由意志主义的主要经济根据之一,并且对1980 年代开始美国的里根以及许多其他国家的经济政策都有极大影响。

弗里德曼不仅关心名义货币需求量,而且特别关心实际货币需求量。他把影响货币需求量的诸多因素中分为三组。

第一组:恒常收入y 和财富结构w。恒常收入来源于总财富,它是构成总财富的各种资产的预期贴现值总和。在其他条件不变的条件下,收入越多,货币需求越多。人力资收益(w)是影响货币需求的又一因素。一个人的总财富是人力资本与非人力资本之和。在总财富中,人力资本比重越大,创造的收入越多,从而对货币的需求量就越大;反之则相反。可见,第一组因素与货币需求量成同方向变化。

第二组:各种资产的预期收益和机会成本。它包括img四项。

rm、rb、re 是三种不同金融资产的预期收益率。一般来说,存款、债券、股票等资产的收益越高人们就愿意把货币转化为这些资产,货币需求量就越少。相反,资产收益越低,人们就会抛售证券,提取存款,持有货币。

img是物价变动因素对货币需求量的影响。从理论上分析,物价上涨意味着货币贬值,通货膨胀,那么,持有货币意味着损失,人们就会把货币迅速用于消费或变成其他财富。相反,在预期物价下降时,人们则愿意持有货币,以满足流动性偏好。

可见,img同货币需求量呈反方向变化。

第三组:各种随机变量u,它包括社会富裕程度,取得信贷的难易程度,社会支付体系的状况等。

弗里德曼的货币需求理论认为货币需求函数是稳定的,这是因为:第一,在货币需求中,利率的影响很小,因为利率变化后,各类资产的预期收益和机会成本若发生相应的变动,相互之间有抵消作用,或者说,货币需求函数中的各永久收入是货币需求的决定因素。所谓永久收入意指预期未来年度的平均收入,它是一个相对稳定的变量,在很大程度上不受短期经济周期波动的影响。因此,弗里德曼认为货币需求函数也是相对稳定的。

凯恩斯的货币需求理论与弗里德曼的货币需求理论都讨论了收入与利率对货币需求的影响。两种理论的不同在于:

第一,凯恩斯强调利率对货币需求的主导作用,主张采取积极的货币政策来改变利率,影响经济的实质产出增长。弗里德曼则更强调恒久收入对货币需求的影响,认为货币需求的随机波动很小,货币需求函数相当稳定,主张实行单一规则的货币政策。

第二,凯恩斯认为货币政策传导变量是利率,弗里德曼则认为是货币供应量。资料来源:根据网络公开资料整理