1
金融学
1.6.5.1 一、债券定价
一、债券定价

有价证券交易价格主要依据货币的时间价值,即未来收益的现值确定。利率与证券的价格成反比关系,这一关系适用于所有的债券工具。利率上升,证券价格就会下降;利率下降,证券价格就会提高。

债券价格分为债券发行价格和流通转让价格。债券的发行价格根据票面金额决定,也可采取折价或溢价的方式进行。债券在二级市场上的流通转让价格依不同的经济环境决定,但有一个基本的“理论价格”决定公式,它由债券的票面金额、票面利率和实际持有期限三个因素决定。

(一)到期一次还本付息债券定价

这种债券的特征是在债券持有内产生的利息不用每期支付,一并合计到到期日和本金一起支付。

img

式中,P 表示债券现在的交易价格;r 为利率(或贴现率、收益率);n 为偿还期限;F 为到期日时的本息和。

【例9】假如某家企业发现的债券面值为100 元,折价发行,不支付利息,期限2 年,收益率为4%,到期一次还本付息。则该债券的交易价格为:

img

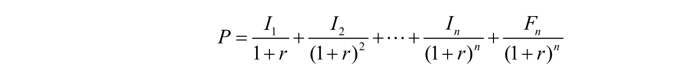
(二)分期付息到期归还本债券定价

这种债券的特征是每期期末支付利息,本金由到期支付,其计算公式如下所示:

img

式中,P 表示债券现在的交易价格;F 为债券面额,即n 年到期所归还的本金;In 为第n 时期产生的息票利息额或债券收益;r 为市场利率或债券预期收益率;n 为偿还期限。

【例10】假如有某债券面值100 元,票面利率为4%,当前市场利率为5%,每年付息一次,满三年后还本付息,则其发行价应:

第一年末收入4(=100*4%)元的现值:4/(1+5%)=3.81(元)

第二年末收入4(=100*4%)元的现值:4/(1+5%)2=3.63(元)

第三年末收入4(=100*4%)元的现值:4/(1+5%)3=3.46(元)

第三年末收入100 元的现值:100/(1+5%)3=86.38

总现值:3.8+3.63+3.46+86.38=97.28(元)

该债券发行时的未来票面收益的现值为10.9(=3.81+3.63+3.46)元,100 元的偿还价的现值为86.38,该债券的发行价就为97.28 元。

实际上,债券定价就是根据市场利率以及债券未来的现金流,计算未来的现金流现值,并据此确定该债券当时的理论交易价格。

如果市场利率(或债券预期收益率)高于债券收益率(息票利率)时,债券的市场价格(购买价)小于债券面值,即债券为折价发行;如果市场利率(或债券预期收益率)低于债券收益率(息票利率)时,债券的市场价格(购买价)大于债券面值,即债券为溢价发行;如果市场利率(或债券预期收益率)等于债券收益率(息票利率)时,债券的市场价格(购买价)等于债券面值,即债券为平价发行,也称等价发行。如果债券期限为永久性的,其价格确定与股票价格计算相同。