1
金融学
1.6.4.4 五、持有期收益率
五、持有期收益率

持期收益率是指从购入到卖出这段特有期限里所能得到的收益率。持有期收益率和到期收益率的差别在于将来值不同。债券持有期收益率是债券持有人在持有期间获得的收益率,能综合反映债券持有期间的利息收入情况和资本损益水平。

(一)持有时间等于1 年

这时,直接按债券持有期间的收益额除以买入价计算持有其收益率,公式如下所示:

img

式中,r 为到期收益率;C 为票面收益(年利息);Pn 为债券的卖出价;P0 为债券的买入价格。

【例7】钱多多购买了某公司发行的10 年期债券,购买价格为95 元,票面面值100 元,票面利率为5%,持有一年后,按照97 元的价格卖出,则这段时间钱多多获得的持有其收益率为:

img

但是如果投资者持有的期限较长,或者在持有期内需要按复利计息, 则计算持有期收益率 时需要考虑货币的时间价值,则须用长期投资的持有期收益率。

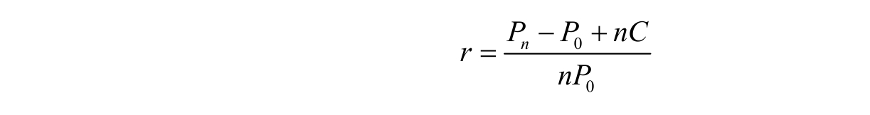
(二)持有时间大于1 年

如果持有时间大于1 年,则计算持有期收益率的公式如下所示:

img

式中,r 为到期收益率;C 为票面收益(年利息);Pn 为债券的卖出价;P0 为债券的买入价格;n 为持有债券的期限(按年计算)。

【例8】钱多多购买了某公司发行的10 年期债券,购买价格为95 元,票面面值100 元,票面利率为5%,持有3 年后,按照97 元的价格卖出,则这段时间钱多多获得的持有其收益率为:

img