1
金融学
1.6.4.3 四、到期收益率
四、到期收益率

(一)零息债券的到期收益率

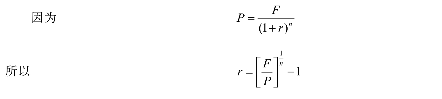
零息债券不支付利息,折价出售,到期按债券面值兑现。如果按年复利计算,则到期收益率的计算公式为:

img

式中,P 为债券价格;F 为债券面值;r 为债券的到期收益率;n 为债券期限。

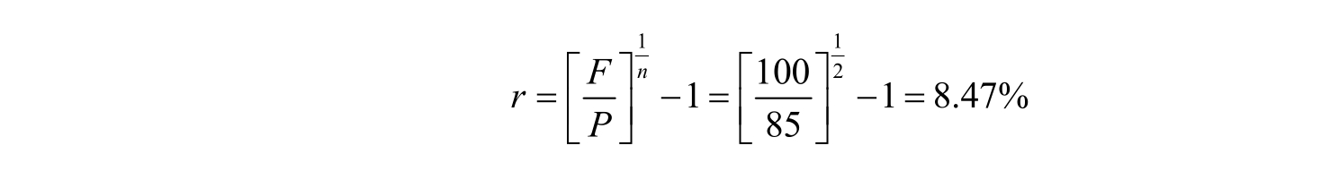
【例4】某公司发行2 年期的零息债券,面值为100 元,如果现在的购买价格为85 元,则到期收益为:

img

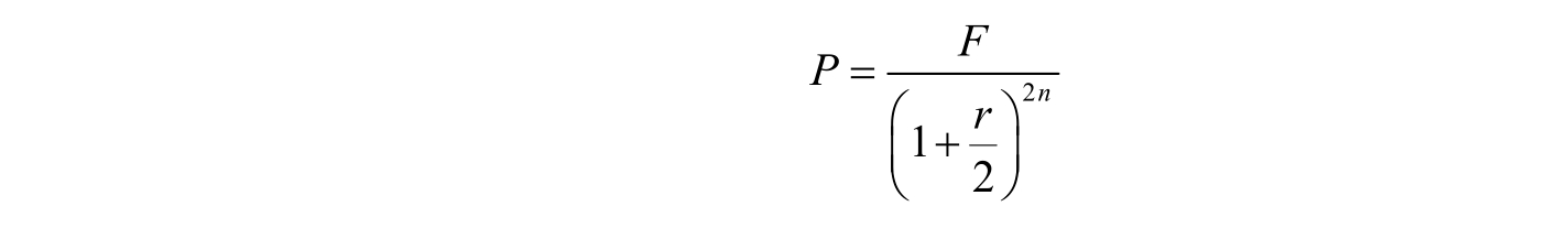
如果一年计息2 次,则到期收益率的计算公式为:

img

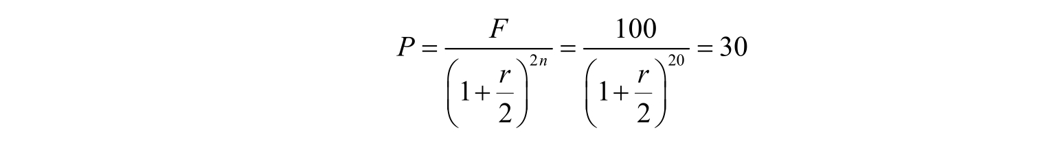
【例5】某公司发行10 年期的零息债券,面值为100 元,现在的市场价格为30 元,则有:

img

求得半年计息一次的到期收益率r 为12.44%,表示投资者现在花费30 元购买债券,10 年以后将获得100 元。

(二)附息债券的到期收益率

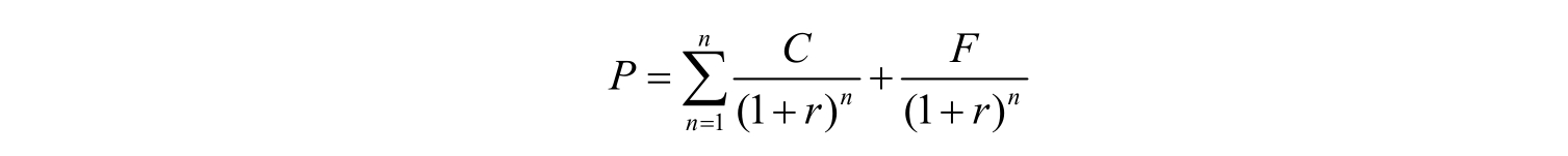
如果按年复利计算,附息债券到期收益率的计算公式为:

img

式中,P 为债券价格;C 为债券的年付息额;F 为面值;r 为到期收益率;n 是债券期限。

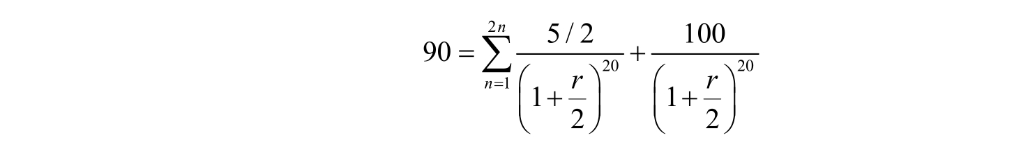
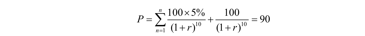
【例6】钱多多现在花费90 元购买了某上市公司发行的10 年期债券,票面面值为100 元,公司每年支付5%利息,则钱多多的到期收益率为:

img

解得r=6%。

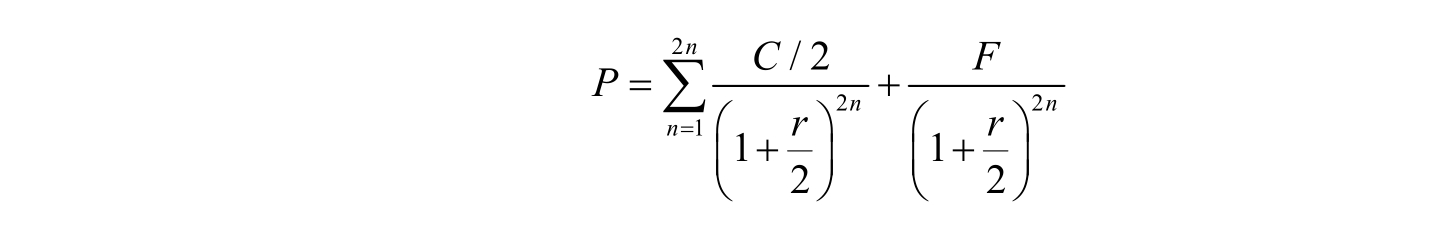
在现实中,许多债券并不是一年支付一次利息,而是每半年支付一次利息,甚至一个季度支付一次,到期归还全部本金。如果按半年复利计算,例6 中的这种债券到期收益率的计算公式如下:

img

则有

img

解得r =6%。

如果已知债券的市场价格、面值、票面利率和期限,便可以求出它的到期收益率;反之已知债券的到期收益率,就可以求出债券的价格。

债券的市场价格越高,到期收益率越低;反之,债券的到期收益率越高,其市场价格就越低。由此可以得出一个结论,债券的市场价格与到期收益率成反向变化关系。当市场利率上升时,到期收益率低于市场利率的债券将会被抛售,从而引起债券价格下降,直到其到期收益率等于市场利率。这就是人们为什么会发现债券的价格随市场利率的上升而下降的原因。