1
金融学
1.6.2.3 三、终值和现值
三、终值和现值

(一)终值

由于利息的存在,在不同时间点上的相同资金实际价值是不同的,货币具有时间价值。终值又称将来值或本利和,是指现在一定量的资金在未来某一时点上的价值,这个金额刚好等于上文提到的本息和。

比如,钱多多每年存入中国建设银行1 万元,存款利率为4%,一年复利计息一次,存5年以后的终值就是1 × (1 +4%) 5=1.05万元。这里的计算和复利计算一样,公式为:

img

(二)现值

把未来某个时点上的一定现金量按照一定的利率折合到现在的价值,称为现值。比如,十年前的100 元和现在的100 元,数值相等,却购买商品的数量发生了变化,现在的100 元比十年前的100 元购买力下降了。那么,现在的100 元相当于10 年前的多少钱呢?这就相当于,已知终值F,求现值P,就是终值计算的逆运算,其计算公式如下所示:

img

(三)系列现金流的现值

上面的现值是某一时点的终值进行逆运算求得,但是生活中不一定只有一个终值,可能不同时点上有不同金额。比如,钱多多所在单位在未来每年年末都给他发年终奖金,第一年年末发10 万元,第二年年末发12 万元,第三年年末15 万元,第四年年末发18 万元,如果年利率为8%,那么求这四年钱多多获得资金价值现在是多少万元,也就是有多个时点“终值”,求现值,这种情况被称为系列现金流的现值计算。

其实,计算原理和之前的已知终值求现值计算方法是一样的:

第一年年末收入10 万元的现值:10 ÷ (1 +8%) =9.26万元

第二年年末收入12 万元的现值:12 ÷ (1 +8%) 2=10.29万元

第三年年末收入15 万元的现值:15 ÷ (1 +8%)3 =11.91万元

第四年年末收入18 万元的现值:18 ÷ (1 +8%) 4=13.23万元

总共为44.69 万元,也就是总现值。

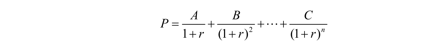
根据上面的分析,可以把系列现金流的现值公式表示如下:

img

式中,P 表示现值;A、B、C 表示各时点的现金流;r 表示贴现率;n 表示期限。

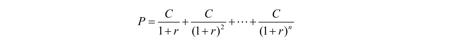
假如,钱多多每年年末获得的收入都是相同的,都是C 万元,那么上面的公式就变为:

img

式中,C 表示年金,即定额定期的现金流,现金流发生在年末,被称为普通年金,这就是普通年金现值计算。

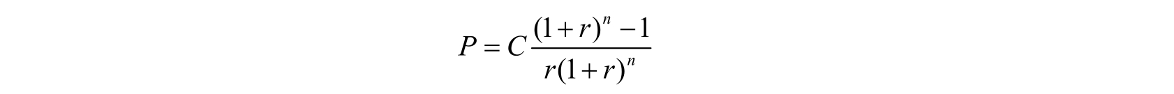
上面的计算公式经过换算,可得:

img

(四)永续年金

假如上式中的n 为无穷大,也就是没有到期日,一直延续下去,比如钱多多拥有某家公司的股票,每年获得股息C =10 万元,r 为10%,他获得的股息现值为多少?

对上式分子分母同时除以(1 +r )n,可以得到如下公式,即为永续年金的计算公式:

img

所以,钱多多获得的股息的现值为10/10% =100万元。

(五)系列现金流的终值

现在假如钱多多为自己的孩子投资一份为期5 年教育基金,每年年末存入该教育基金账户1 万元,年利率为10%,复利计息,则第五年年末该账户有多少资金?

第一年年末存入1 万元的终值:1 × (1 +10%) 4=1.46(万元)

第二年年末存入1 万元的终值:1 × (1 +10%) 3=1.33(万元)

第三年年末存入1 万元的终值:1 × (1 +10%) 2=1.21(万元)

第四年年末存入1 万元的终值:1 × (1 +10%)1 = 1.1(万元)

第五年年末存入1 万元的终值:1 × (1 +10%) 0= 1(万元),还未产生利息。

第五年年末账户共有6.105 万元,也就是这一系列现金流产生的终值为6.105 万元。

这样,系列现金流终值计算公式可以归纳为:

img

通过推算,可以变形为:

img