1
金融学
1.6.2.2 二、实际利率
二、实际利率

上面单利和复利计算利息的时候,都默认每年计息一次,但是社会生活中会有半年复利计息一次、一个季度复利计息一次、一个月复利计息一次,甚至每天都在复利计息,那么这时候的实际利率该如何计算呢?

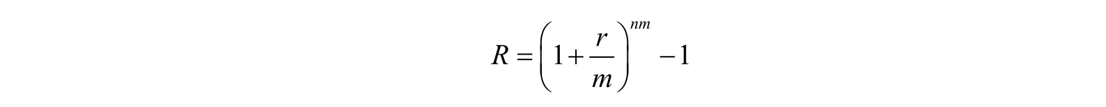
一般来说,一年计息一次,年利率就是我们通常所熟知的名义利率,这个时候和实际利率是相等的。一年内计息次数大于1 次,实际利率就不等于名义利率,它的计算公式如下所示:

img

式中,R 表示实际利率;m 表示一年内计息的次数;n 表示借贷年限。

当一年计息一次,即m= 1,n = 1,则R = r,实际利率和名义利率相等,这时F = P × R + P 。如果n > 1,F =P(1 +r )n,即为一般的复利求本息和的公式。

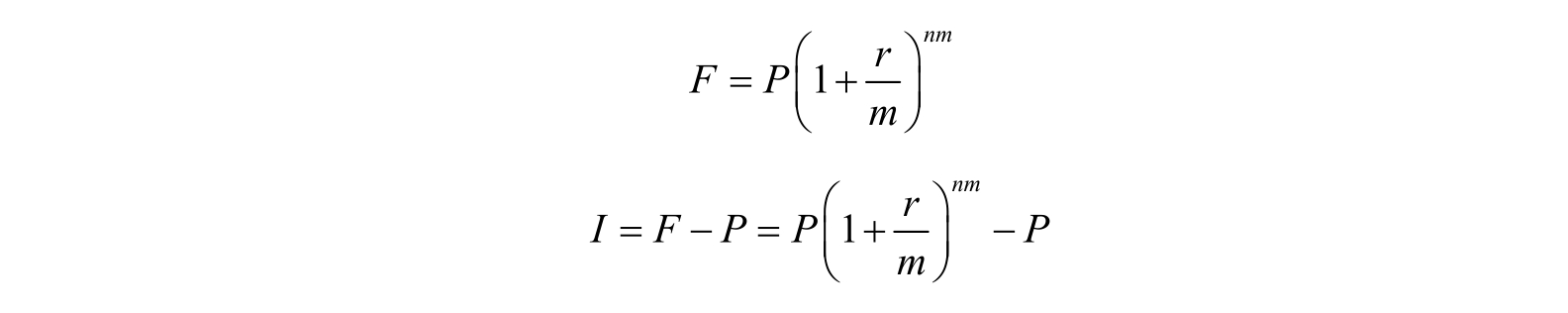
当一年内计息次数大于1 次,即m > 1,n= 1,R ≠ r,利用上面公式计算实际利率。这时,本息和与利息总额的计算公式如下所示:

img

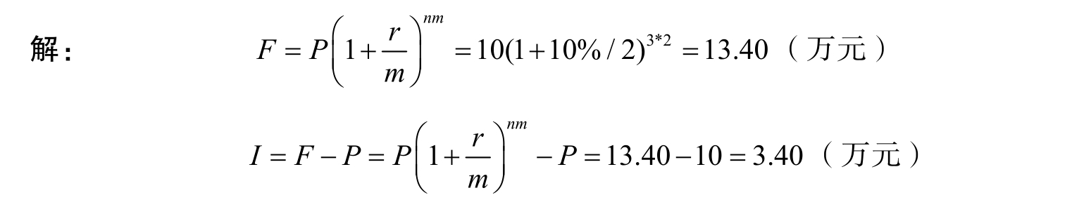
【例3】钱多多借款10 万元,年利率为10%,借款期限为3 年,按照复利计息,一年计息2 次,那么到期钱多多应该偿还利息多少,本息和多少?

img

利用例2 和例3 数据,一年内计息次数变化,如表4-3 所示,在利率相同,时间期限相同的情况下,最终的本息和越大,产生的利息总额也越大,同时,本息和以递减的增加。

表4-3 一年内多次计息结果

img