1
金融学
1.6.2.1 一、单利和复利
一、单利和复利

(一)单 利

单利是指在计算利息额时,不论期限长短,仅按本金计算利息,所产生的利息不再加入本金重复计算利息。利息总额为:

img

式中,I 表示利息总额;P 表示本金;r 表示利率;n 表示借贷年限。

那么,本息和,也就是本金和利息之和的公式就为:

img

式中,F 表示本息和。

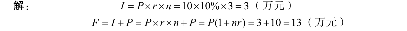
【例1】钱多多借款10 万元,年利率为10%,借款期限为3 年,按照单利计息,那么到期钱多多应该偿还利息多少,本息和多少?

img

(二)复 利

复利是指计算利息时,要按一定期限,将所上期产生的利息转为本金继续计息,逐期滚算,俗称“利滚利”。本息和与利息总额的计算公式分别如下所示:

img
img

【例2】钱多多借款10 万元,年利率为10%,借款期限为3 年,按照复利计息,那么到期钱多多应该偿还利息多少,本息和多少?

img

显然,单利计息,手续简单,计算方便,有利于减轻债务人的利息负担;复利计息,计算相对复杂,但是其中体现了货币的时间价值,更为合理。复利法在投资决策、财务管理等领域广泛使用。

经过上面的计算分析,当n=1 的时候,不管单利计算还是复利计算,终值是一样的,但是当n 越来越大,单利计算和复利计算的终值之间的差距也将越来越大。比如,图4-1 采用本金20 万元,利率为10%,两种方法计算的终值在前10 年,复利终值比单利终值多了11.87万元,到50 年的时候差距是2 227.82 万元,60 年的时候是5 949.63 万元,复利终值是单利终值的43.5 倍。

img

图4-1 单利终值与复利终值对比

从上面的分析,也可看出影响本息和的三要素:投入资金的数额、收益率(利率)大小和投资时间长短,三个要素与最终的本息和成正相关关系。

金融小学堂

你愿意慢慢变富吗?

有一次Airbnb 的CEO 布莱恩·切斯基(Brian Chesky)和亚马逊的CEO 贝佐斯坐下来聊天,两个人谈到了自己共同的偶像巴菲特。切斯基就问贝佐斯:“你觉得巴菲特给过你最好的建议是什么?”

贝佐斯说,有一次我问巴菲特:“你的投资理念非常简单,而且你是世界上第二有钱的人……为什么大家不直接复制你的做法?”

巴菲特说:“因为没有人愿意慢慢地变富。”

这是巴菲特说过的很多关于投资的至理名言里,对普通投资者最有意义的一句。那么投资中,这种“不愿意慢慢变富”的心态,是怎么影响我们投资成功的呢?

首先提出一个问题:80 多岁的巴菲特目前的身价有七八百亿美元之多,是世界上最富有的几个人之一。那么请猜想一下,巴菲特50 岁之后挣到的钱,占他所有身价的百分之多少?

——30%、50%,甚至70%、80%?但实际的答案是:99.8%。是的,巴菲特全部身价的99.8%,都是在他50 岁之后累积的。

所以,当我们“感觉”巴菲特很有钱的时候,其实感觉到的是他人生后半程所累积的巨额财富——虽然年轻的巴菲特比起一般人也相当富有了,但远远称不上世界顶级的富豪。

再看同样非常富有的马云,他是什么时候开始变得有钱的呢?截止到2019 年,55岁的马云,90%的资产都是50 岁以后挣得的。

很吃惊对不对?

这两个人的例子向我们展示了一个事实:一个人财富累积的过程,很可能跟我们直觉想象的完全不一样,这并不是一个线性累积的过程。无论是多大的富豪,他们的巨额财富大部分都是人生中很后面的部分才累积到的,而这对普通投资者来说也是一样。这就是开头说的“慢慢变富”的含义。

而在投资这条路上,就要习惯自己需要慢慢变富这个事实。

很多人可能会说:好的,我已经做好这个心理准备了,我可以接受慢慢变富,我可以等。

但是,这件事可能没有表面说的那么容易。

举个例子,顶级华人投资家和企业家李嘉诚先生旗下最著名的公司就是长江和记实业有限公司——有时候也简称为“长和集团”,如果从1972 年长和集团上市计算,截止到2018 年3 月李嘉诚先生宣布退休的时候,整个公司的市值在46 年里翻了5 000 倍左右,绝对是商业史上的一个奇迹。

假设你现在穿越回1972 年,告诉自己的父母或者更往上一辈,如果有钱一定要买这家公司的股票,然后一直持有坚决不卖。如果你这么做的话,你现在能有多少钱呢?

1972 年的时候,大多数家庭一年的收入可能只有几十块钱。假设你当时非常有胆量,拿出100 块钱买了长和的股票,那么到了2018 年,你的钱在翻了5 000 倍以后,就变成了50 万人民币。

对于很多人来说,50 万人民币当然是一笔不小的数目。但它可能并不是能让你的生活水平发生天翻地覆变化的一笔钱。换句话说,如果想靠投资为生,没有足够的本金是不可能实现的。哪怕眼光极好,投到了李嘉诚也没有用。所以,不断在生活中积累本金也是“慢慢变富”很重要的一个方面。

可是,本金这么重要,通过工资来积累太慢了,通过投资积累不也一样吗?是不是可以去投一些好项目、好产品,一下回报很多倍,然后再做长期投资也不迟。如果这样想,就走入了另外一个误区。

在生活中,确实总能看到有很多“短时间内翻了好几倍”的投资案例,但这背后一个很大的陷阱是:投资界没有免费的午餐。当你去博取高回报时,对应的一定是更大概率的亏损。而亏损,在让人们变富这件事上,会带来巨大的负面影响。

这不仅是一个简单的赔钱的问题,亏损带来负面影响的本质,是它会带来另一个很可怕的现象,叫作“负复利”。所谓的“负复利”——这里的“负”是“正负”的“负”——是指对投资回报起到的作用正好相反。

可以用一道简单的数学题来说明这个道理:假设你是一个投资奇才,一年挣得了100%的回报,那么你下一年要亏损多少,会把所有挣的钱亏回去呢?答案我们都算得出来,只要50%。

同样,哪怕你某一年运气不好亏损了1/3,那么想要“回本”,接下来的投资收益就得变成50%之多。复利在赚钱的时候有多正向,亏钱的时候就有多逆向。所以,我们看到的那些短时间内翻了好几倍的投资,往往是小概率发挥了一次作用,但下一次结果如何就很难说了。换句话说,博取短时间内不合理高回报的本质都是在和概率作对。和概率作对,一次两次还可能侥幸赢,但时间稍微一长,输是必然的结局。

所以当真的发生了亏损的时候,就会发现自己只有承担更多风险,去博更高的回报,才能把之前的亏损补回来。而在这个过程中,又承担了新的风险,可能就遇到新的亏损。然后如此恶性循环下去……别说慢慢致富了,最后把所有钱都赔进去也是有可能的。而且,不要以为负复利只对这种大幅的亏损有作用,哪怕是相对小幅度的赔本,都会对长期的投资回报率有很大的影响。

比如,我们还可以算一道简单的数学题,如果你连续十年的投资收益是这样的:第一年赚20%,第二年亏15%;第三年赚20%,第四年亏15%;第五年又赚20%,第六年再亏15%……以此类推。那么这十年下来你总共的投资回报有多少呢?

稍微计算一下就可以得出答案:10.4%。十年总回报 10.4%,每年连 1%都不到。算上通货膨胀的影响,实际上你不但没有赚到钱,还白白损失了十年的宝贵时间。

那么,普通人真的就没法参与那些高风险、高回报的投资了吗?万一以后有这种机会,应该如何面对呢?

有两点建议:第一,如果做风险很高的投资,那么它带来的回报一定要足够高,潜在收益最好是几十倍、几百倍甚至几千倍,否则得不偿失;第二,当去做高风险投资的时候,一定要做好亏损100%的准备,如果你的钱白花了也能接受,同时也不会用很多钱去赌,这就是一个比较好的心态。

资料来源:根据张居营《慢慢变富》和网络公开资料整理