1
纺织机械设计基础
1.14.2.3 三、控制系统软件设计
三、控制系统软件设计

(一) 控制算法

对于某一时刻t,PLC 通过光电编码器脉冲定时计数得到3 个辊轴的反馈转速n1f,n2f,n3f,同时计算得出退卷辊和卷绕辊的卷径D1(t)和D3(t),根据式(11-2),经PLC 计算得到各电动机的给定转速n1g,n2g,n3g,定义同步偏差为:

当ei=0(i=2,3)时,表明在给定线速度下主从电动机同步;ei≠0 时,表明给定线速度下主从电动机不同步。

同步控制系统的各台电动机采用PID 控制规律进行调节,其连续表达式为:

式中:KP为比例系数;Ti为积分时间常数;Td为微分时间常数。

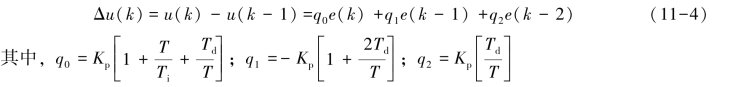
将式(11-3)按采样周期离散化以后,位置型控制算式的递推算法为:

参数整定过程:确定采样周期T(应大于PLC 运行周期),运行比例控制器,形成闭环,逐渐增大比例系数,使系统对阶跃输入的响应达到临界状态,记下此时的临界比例系数Kr和临界振荡周期Tr。然后利用表11-1 中公式求取PID 控制器的参数,按求得的参数运行,观察系统控制效果,微调有关参数,以获得最佳效果。

表11-1 比例法参数整定经验计算公式

(二) 控制算法流程

高速计数模块对编码器脉冲进行计数,在给定的采样时间,PLC 把速度反馈值给y(k),按式(11-4)计算Δu(k)和u(k)=Δu(k)+u(k-1),u(k)即为电动机转速控制量,通过接口把控制量传递给变频器,由此控制电动机,同时将计算得出的3 台电动机的实际转速传给图形操作终端,进行运行状态显示,图11-11 为控制算法的流程。

图11-11 控制算法流程