1
纺织机械设计基础
1.14.2.1 一、基于PLC 和变频调速的多电动机同步控制
一、基于PLC 和变频调速的多电动机同步控制

印染设备(包括坯布练漂、染色、印花和整理设备)常采用多台交流电动机或直流电动机作为驱动源,而系统中多台电动机的同步传动控制技术是染整成套装备的关键共性技术。可编程逻辑控制器(PLC)具有的高频率脉冲输出,定时和高速计数、算术运算、数据处理、网络通信等功能已很强大,并且抗干扰能力强,已在印染机械多单元同步控制系统中得到应用。

以3 台电动机为研究对象,控制方案如图11-9 所示。

M1,M2,M3为3 台电动机,且M1为主令电动机,驱动退卷辊,M2,M3为从动电动机,分别驱动中间传动辊和卷绕辊;BP1,BP2,BP3为3 台电动机的调速装置;BM1,BM2,BM3为各辊轴端安装的光电编码器,反馈信号一方面作转速反馈,另一方面经转换作下一台电动机的给定,BM1,BM3的Z 相脉冲(即零位脉冲,编码器每旋转一周发一个脉冲)用于计算退卷辊和卷绕辊的卷径;采用比例—积分—微分(PID)控制对同步误差进行调节。

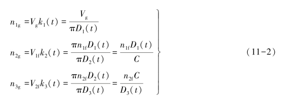
卷径计算时,BM1的Z 相每出现1 个脉冲(即编码器旋转一周),退卷辊卷径减少2h(h为织物厚度),而BM3的Z 相每出现1 个脉冲,卷绕辊卷径增加2h,系统中:

图11-9 多电动机同步传动系统的控制方案

其中:Vg为系统给定线速度;D1(t),D2(t),D3(t)分别为退卷辊卷径、中间辊直径和卷绕辊卷径,且中间辊直径D2(t)=常数=C;n1g,n2g,n3g分别为各辊轴的给定转速;n1f,n2f,n3f分别为各辊轴的反馈速度。