-
1.1课程设置指导
-
1.2前言
-
1.3目录
-
1.4第一章 纺丝成形装置
-
1.4.1第一节 纺丝箱体
-
1.4.1.1一、纺丝箱体的结构与作用
-
1.4.1.2二、纺纱箱体的加热系统
-
1.4.1.3三、纺丝箱体熔体管道结构设计
-
1.4.2第二节 计量泵
-
1.4.2.1一、计量泵的结构与工作原理
-
1.4.2.2二、计量泵主要参数确定
-
1.4.2.3三、叠泵与高压泵
-
1.4.3第三节 纺丝组件
-
1.4.3.1一、纺丝组件的结构与作用
-
1.4.3.2二、喷丝板设计
-
1.4.3.3三、微孔挤出数值模拟举例
-
1.4.4第四节 冷却成形装置
-
1.4.4.1一、冷却固化过程
-
1.4.4.2二、冷却成型装置的形式
-
1.4.4.3三、冷却气流的速度及分布
-
1.4.4.4四、整流材料的选择
-
1.4.4.5五、吹风位置参数确定
-
1.4.4.6六、工艺条件的选择
-
1.5第二章 梳理机构
-
1.5.1第一节 盖板式梳棉机
-
1.5.1.1一、盖板式梳棉机的工作原理
-
1.5.1.2二、给棉和刺辊部分
-
1.5.1.3三、锡林、刺辊的速比与隔距
-
1.5.1.4四、锡林、盖板和道夫
-
1.5.1.5五、梳棉机的传动及工艺计算
-
1.5.2第二节 精梳机
-
1.5.2.1一、精梳机的工艺过程
-
1.5.2.2二、钳持给棉机构
-
1.5.2.3三、分离罗拉传动机构
-
1.5.2.4四、锡林轴的传动
-
1.6第三章 罗拉牵伸机构
-
1.6.1第一节 罗拉牵伸的原理
-
1.6.1.1一、罗拉牵伸的条件
-
1.6.1.2二、牵伸倍数及牵伸效率
-
1.6.1.3三、牵伸的组合及分配
-
1.6.2第二节 罗拉牵伸形式
-
1.6.2.1一、直线牵伸
-
1.6.2.2二、曲线牵伸
-
1.6.2.3三、皮圈牵伸
-
1.6.3第三节 牵伸机构传动形式
-
1.6.3.1一、传动路线的设计原则
-
1.6.3.2二、罗拉头段的扭矩计算
-
1.6.4第四节 牵伸比的计算和变换齿轮的选配
-
1.6.4.1一、牵伸变换齿轮的齿数选配
-
1.6.4.2二、牵伸比计算举例
-
1.7第四章 自调匀整系统
-
1.7.1第一节 成卷机均匀给棉装置
-
1.7.1.1一、成卷机均匀给棉的原理
-
1.7.1.2二、天平调节装置分析
-
1.7.1.3三、铁炮变速装置分析
-
1.7.2第二节 梳棉机自调匀整系统
-
1.7.2.1一、梳棉机开环控制自调匀整系统
-
1.7.2.2二、梳棉机闭环控制自调匀整系统
-
1.7.2.3三、梳棉机混合环控制自调匀整系统
-
1.7.3第三节 并条机自调匀整系统
-
1.7.3.1一、并条机自调匀整控制形式
-
1.7.3.2二、一种开环式并条机自调匀整系统
-
1.8第五章 圈条机构
-
1.8.1第一节 圈条机构的原理
-
1.8.2第二节 圈条机构的设计参数分析
-
1.8.2.1一、圈条平面轨迹分析
-
1.8.2.2二、圈条盘传动比计算
-
1.8.2.3三、圈条容量计算
-
1.9第六章 纱线卷绕机构
-
1.9.1第一节 纱线卷绕概述
-
1.9.1.1一、纱线卷绕的要求
-
1.9.1.2二、纱线卷绕的类型和特点
-
1.9.2第二节 粗纱卷绕
-
1.9.2.1一、粗纱卷绕运动规律
-
1.9.2.2二、锭翼纺纱卷绕系统
-
1.9.2.3三、四电动机驱动的粗纱机卷绕系统
-
1.9.3第三节 细纱卷绕
-
1.9.3.1一、细纱卷绕导纱运动规律
-
1.9.3.2二、环锭纺纱卷绕和成形机构
-
1.9.3.3三、新型环锭细纱机多电动机传动与控制
-
1.9.4第四节 络筒卷绕
-
1.9.4.1一、络筒卷绕原理
-
1.9.4.2二、络筒机卷绕机构
-
1.9.4.3三、络筒导纱机构
-
1.10第七章 纺织机械中的气流
-
1.10.1第一节 管道内的气力输送
-
1.10.1.1一、气力输送基本原理
-
1.10.1.2二、气流速度和流量的选用
-
1.10.1.3三、管道内气流的能量损失
-
1.10.2第二节 涡流在纺纱机械中的应用
-
1.10.2.1一、涡流的基本特性
-
1.10.2.2二、涡流加捻
-
1.11第八章 针织成圈机构
-
1.11.1第一节 针织成圈概述
-
1.11.1.1一、成圈机件及其功能
-
1.11.1.2二、成圈过程
-
1.11.2第二节 织针的设计
-
1.11.2.1一、织针设计的基本要求
-
1.11.2.2二、舌针的设计
-
1.11.3第三节 三角的设计
-
1.11.3.1一、三角的作用
-
1.11.3.2二、三角主要尺寸的设计计算
-
1.11.3.3三、曲线三角的设计
-
1.12第九章 织机引纬机构
-
1.12.1第一节 剑杆织机引纬机构
-
1.12.1.1一、剑杆织机引纬机构的分类
-
1.12.1.2二、非分离筘座式剑杆织机引纬机构
-
1.12.1.3三、分离筘座式剑杆织机引纬机构
-
1.12.2第二节 圆织机引纬机构
-
1.12.2.1一、分线盘开口式圆织机引纬
-
1.12.2.2二、凸轮开口式圆织机
-
1.12.2.3三、电磁开口式圆织机引纬
-
1.13第十章 织机打纬机构
-
1.13.1第一节 四连杆打纬机构
-
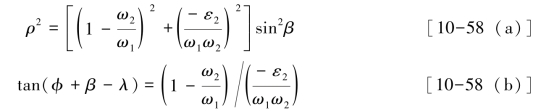
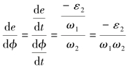
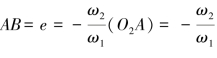
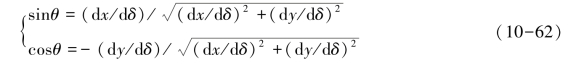
1.13.1.1一、e 值和l2/l1值对筘座运动的影响
-
1.13.1.2二、四连杆打纬机构的运动分析
-
1.13.1.3三、短牵手打纬机构的设计
-
1.13.2第二节 六连杆打纬机构
-
1.13.2.1一、六连杆打纬机构的运动特性
-
1.13.2.2二、六连杆机打纬构的运动分析
-
1.13.3第三节 共轭凸轮打纬机构
-
1.13.3.1一、筘座运动的设计
-
1.13.3.2二、凸轮机构从动件运动规律
-
1.13.3.3三、共轭凸轮的设计
-
1.13.3.4四、共轭凸轮打纬机构的动态问题
-
1.14第十一章 多电动机同步控制技术
-
1.14.1第一节 多电动机同步控制理论简介
-
1.14.1.1一、多电动机同步控制结构
-
1.14.1.2二、多电动机同步控制算法
-
1.14.2第二节 染整机械的多电动机同步控制系统
-
1.14.2.1一、基于PLC 和变频调速的多电动机同步控制
-
1.14.2.2二、控制系统的硬件组成
-
1.14.2.3三、控制系统软件设计
-
1.14.3第三节 浆纱机多单元同步控制系统
-
1.14.3.1一、新型浆纱机的多单元传动
-
1.14.3.2二、新型浆纱机控制系统
-
1.14.3.3三、浆纱张力与伸长率的自动控制
-
1.15参考文献






。作O



,代入式(10-57),可求得凸轮转动中心可行域边界包络线方程式为:




