1
纺织机械设计基础
1.13.1.1 一、e 值和l2/l1值对筘座运动的影响
一、e 值和l 2/l 1值对筘座运动的影响

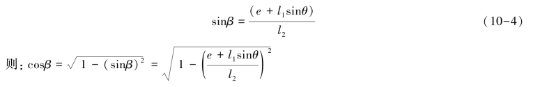
为了分析e 值和l2/l1值对筘座运动的影响,建立如图10-3 所示的右手坐标系,令曲轴转动中心A 点为坐标原点,x 轴平行于CnC0连线(C0是曲柄与牵手拉直共线时牵手栓的位置,即筘座打纬结束时的位置;Cn是曲柄与牵手重叠共线时牵手栓的位置,即筘座脚退到最后的位置)。过A 点作CnC0连线的垂线,垂足为A´,e=AA´。设AC0与x 轴的夹角∠AC0A´=β0,根据几何关系有:

设θ 为曲轴与x 轴正向的夹角,顺时针为正,逆时针为负。当曲柄转到任意角度θ 时,牵手栓对应位置C 点的x 轴坐标为:

由图10-3 中几何关系可知:

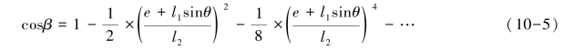
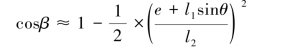
利用二项式定理展开得:

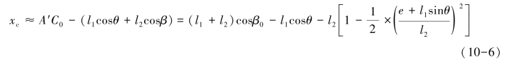
对于中牵手、长牵手的织机打纬机构,可以略去上式的高次项,近似有:

将上式代入式(10-3),可得牵手栓在任一时刻的位置,可近似表达为:

令:

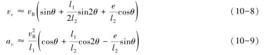
则式(10-6)变为:

式(10-7)就是四连杆打纬机构中牵手栓位移与曲轴转角θ 之间的函数关系近似式。将该式对时间求一阶及二阶导数,可求得牵手栓的速度vc和加速度ac的计算式:

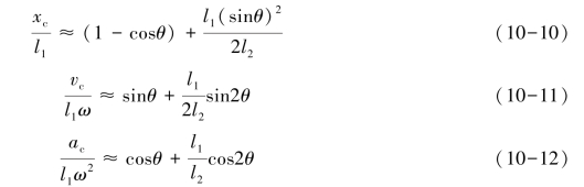
下面利用方程式(10-7)~式(10-9)讨论e 值和l2/l1值对筘座运动规律的影响。

(一) l2/l1对筘座运动的影响

在四连杆打纬机构中,牵手与曲柄的长度比值l2/l1对筘座脚的运动影响最大。为了便于比较,设非轴向偏距e=0,将式(10-7)~式(10-9)进行无量纲化处理,可得筘座运动规律的无量纲普遍公式:

假定主轴匀速回转,分别取l2/l1→∞(长牵手),l2/l1=4.1(中牵手)和l2/l1=1.5(短牵手)代入式(10-10)、式(10-11)和式(10-12)中,得到牵手栓的位移、速度和加速度的变化曲线,如图10-4 所示。

从图10-4 的三组曲线中可以看出,l2/l1对筘座的运动影响如下。

(1)牵手越长,l2/l1→∞时,筘座的运动规律越接近简谐运动规律,即余弦加速度运动规律。

(2)根据织造工艺要求,引纬器进出梭口时,钢筘离织口须有一定的距离。设此时牵手栓的位移为xk。在有梭织机上,xk可取等于梭子宽度的某一个倍数。例如:厚重织物,xk=2倍梭宽;中薄织物,xk=1.75 倍梭宽。以xk/l1值在筘座位移曲线上作水平线,其与曲线两次相交的交点在横坐标轴上的投影就是允许进出梭口的时间,两点之间的距离(θ1、θ2、θ3)则分别表示允许梭子在梭口中飞行的时间,即引纬时间。

(3)牵手越短(l2/l1=1.5),允许梭子在梭口中运行的时间越长。因此,宽幅织机一般采用短牵手打纬机构。

(4)牵手越短,筘座在后死心处(θ=180°)的运动越缓慢,相对静止时间越长,这有利于宽幅引纬。喷气织机就是利用短牵手打纬机构的这一特点,使筘座脚在后死心处近似停顿,便于喷嘴喷射气流和引纬。

(5)牵手越短,筘座加速度的变化越大,会增大机器震动。筘座在前死心附近时(θ=0)加速度最大,这对惯性打纬有利,适合织毛、麻等厚重织物。对于高速织机,可采用轻的筘座脚,以减轻机器的震动。

(二) e 值对筘座运动规律的影响

为了便于比较,设曲轴长度AB=76mm,牵手长度BC=289mm,筘座脚长度CD=753.34mm,并分别令e=0,e=+100mm 和e=-100mm,分别带入式(10-7)、式(10-8)和式(10-9),得到在不同的e 值下,筘座位移、速度和加速度的变化规律曲线,如图10-5所示。

(1)由位移曲线图10-5(a)可以看出,非轴向打纬机构牵手栓的动程大于轴向打纬机构牵手栓的动程,即大于2l1。如果以一定的xk距离截取位移曲线,e>0 时,引纬器可以提早进梭口,e<0 时,引纬器可延迟出梭口。

图10-4 l2/l1值对筘座运动的影响

图10-5 非轴向偏距e 对筘座运动规律的影响

(2)由速度图10-5(b)可以看出,对于非轴向打纬,若e>0,筘座由前死心摆向后死心时,曲柄转过的角度小于180°,而筘座由后死心摆向前死心时,曲柄转过的角度大于180°;当e<0 时,情况恰好相反。

(3)由加速度图10-5(c)可以看出,非轴向打纬机构的筘座脚加速度最大值总是大于轴向打纬机构。因此,非轴向打纬机构更适用于织厚重的织物,但也导致织机的震动较大。

以上分析了l2/l1值和e 值对筘座运动性能的影响,从而在设计织机的打纬机构时,可以根据织物的品种和织物宽度等合理选择四连杆打纬机构的尺寸。

有梭丝织机:有梭丝织机采用中、长牵手的较多。一方面因为丝织物轻薄,需要的打纬力小,另一方面,由于中、长牵手打纬机构能够提供充裕的空间安装提花机构。又因为有梭丝织机的速度不高,中、长牵手打纬机构提供的引纬时间足够满足梭子在织口飞行的需要,故在有梭丝织机上基本不采用短牵手打纬机构。

阔幅有梭毛织机、金属丝网织机、重型织机:过去这些织机采用短牵手打纬机构,主要是因为,短牵手打纬机构的筘座在后方运行缓慢,有利于延长引纬时间。

无梭织机(如喷气织机、喷水织机、剑杆织机):因为短牵手打纬机构具有上述特点,这些织机不论织何种纤维、幅宽多大,都采用短牵手打纬机构。但同时为了减小机器的震动,大都采用轻质的铝合金或碳纤维筘座,并缩短筘座脚的长度,以减小筘座脚的惯性,达到减小震动的目的。