1
纺织机械设计基础
1.10.1.1 一、气力输送基本原理
一、气力输送基本原理

在输送管道内,物料和空气混合在一起流动,它们的混合状态可以分为两大类。一类是均匀的悬浮状态,即物料与空气均匀地混合在一起,但只有轻、微粉末状的物料才可能是这样状态;另一类是非均匀的悬浮状态,即物料与空气混合是不均匀的,而且在输送过程中会发生沉降现象。棉丛、纤维束的气力输送基本上属于第二类。

在输送管道内,物料的悬浮情况取决于管道内空气流速的大小。空气流速大则有利于物料悬浮,但需用较大容量的风机,能量消耗大。所以,需了解为实现各有关物料输送的最低空气速度。气力输送管道系统通常由垂直管道和水平管道组成,为了使物料悬浮,两者所需的最低气流速度各不相同。

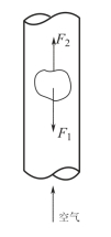
(一) 垂直管道中气力输送原理

物料密度ρm大于空气密度ρ,故物料相对空气向下运动,如图7-3 所示,作用在物料上的下沉力为:

图7-3 垂直管道气力输送

式中:W 为物料重量(kg);V 为物料体积(m3)。

如果空气以速度v 在管道内自下而上流动,而物料以速度vm下沉(vm<0)或上升(但0 <vm<v),那么物料受到空气阻力(或推力)为:

式中:C 为空气阻力系数;A 为物料在垂直于气流运动方向上的投影面积(m2);vm为物料运动速度(m/s)。

当F1=F2时,物料作等速运动,则有:

由此可见,当v=vs时,vm=0,即此时物料在管道内静止不动,处于悬浮静止状态,故称vs为物料的悬浮速度,它决定于物料的性状,见式(7-4);当v >vs时,vm>0,即物料在管道内上升;当v <vs时,vm>0,即物料在管道内下沉。因此,气流速度必须大于物料的悬浮速度,才能使物料在管道内上升。

物料在静止空气中自由沉降的沉降力为重力与浮力之差,它将使物料以加速度下沉;该力虽保持不变,但物料所受到的空气阻力则随着速度增大而增加。当该阻力增加到与物料所受的沉降力(即重力与浮力之差)相等时,则物料的沉降速度不再增加,而以等速运动下降,这时的物料沉降速度称为沉降终末速度,或简称终末速度vT。终末速度与悬浮速度在理论计算式上是等同的,而前者易借助实验测得。

从上述关系式可看出,ρm比较小,且比较蓬松(W/A 较小)的物料,其悬浮速度或终末速度较小。例如,清棉机棉从的平均终末速度为800~1100mm/s,纤维的平均终末速度为30~60mm/s。

(二) 水平管道中气力输送原理

在水平管道中,气流流动方向与物料重力方向相垂直,物料因重力作用有下沉趋势。如管道中气流速度很低,则物体沉于管底不动。因此,气流速度必须增加到一定的数值,物料才能脱离管壁而腾空飞行,这时气流的速度称为腾空速度vD

当气流吹向沉于管底的物料时,产生水平推力P,如图7-4 所示。物料上面的气流速度比下面大,驱使物料向前翻转,同时物料下面的气压也大于上面,所以气流对物料产生一个升力L,物料即发生翻腾浮起现象,并随气流向前输送。该升力大致与气流速度的平方成比例,如果物料的重力大则气流速度也应增大。一般物料的腾空速度均大于自由沉降的终末速度,据测定,腾空速度大约是自由沉降终末速度的三倍。

图7-4 水平管道气力输送