1
纺织机械设计基础
1.8.2.1 一、圈条平面轨迹分析
一、圈条平面轨迹分析

圈条机构的传动比设计应满足:圈条盘一转所完成的圈条轨迹长度等于小压辊在同一时间内的输出长度。否则,若圈条盘转速偏慢,将会导致条子在斜管内拥挤堵塞;若圈条盘转速偏快,将导致条子的意外牵伸而影响圈条成形和成纱质量。

在图5-1 中,设小压辊2 的角速度为ωg,半径为rg,则其出条速度为rgωg(=2πrgng)。该速度应等于圈条器的圈条速度v(即出条口回转线速度)。下面根据圈条轨迹求出圈条速度v。

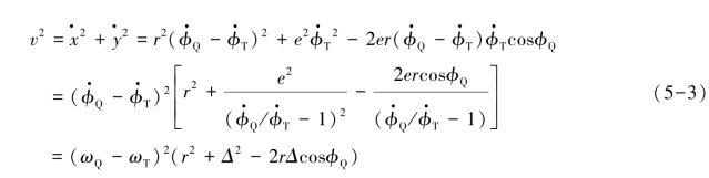
图5-3 圈条轨迹分析

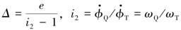
如图5-3(a)所示,以条筒中心O 为坐标原点,建立固定坐标系XOY,设P 为圈条盘上出条点,OQ为圈条盘中心,r 为圈条半径(即),那么:

圈条盘转角为φQ(=ωQt),逆时针方向。

条筒转角为φT(=ωTt),逆时针方向。

按照反转法,当圈条盘完成转角φQ(=ωQt)的同时,圈条盘中心OQ的转角为-φT,故得点P(x,y)的坐标位置为:

对式(5-1)求时间导数,得:

那么,圈条速度v 为:

在(5-3)式中,

i2为圈条盘与条筒的速比,两者同向取正值,异向取负值。

于是可得:

由式(5-4)可见:推导得出的圈条速度v 随圈条盘转角φQ作周期性变化,其变化范围如下:

然而,实际上小压辊的出条速度是不变的,故在φQ=0 位置,由于v0偏小,条子张力松弛,条子将向斜管外侧偏离,使圈条半径r 增大(增大到r0);而在φQ=π 位置,由于vπ偏大,条子被拉紧,张力增加,条子被拉向斜管内侧,圈条半径r 减小(减小到rπ)。这样,通过r 大小变化来适应小压辊出条速度不变。理论上当r 不变化时,在条筒内的圈条呈摆线分布,但实际上r 是有微小变化的,故呈近似摆线分布。