1
纺织机械设计基础
1.7.1.2 二、天平调节装置分析
二、天平调节装置分析

如图4-1 所示,为了放大天平杆的检测信号,天平杆后面一段长度一般要比钳口到刀口的长度放大e=4~5 倍,此即天平杆的放大系数。

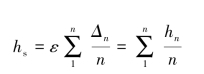
由于棉层厚度沿机器宽度方向上一般是不等的,故用n 根天平杆组成n 个钳口,各天平杆尾端按一定的方法并联,以保证综合点S 的位移相应于各钳口棉层厚度Δ 的算术平均值,亦即:

式中:hn为各天平杆尾端的位移。

那么,综合点S 的位移变化值也应是各列钳口下棉层厚度变化的算术平均值,亦即:

天平杆尾端联结的设计,实际上应是一个移动式求和装置的设计。因此,天平调节装置用于检测棉层在整个宽度方向上厚度Δ 的算术平均值,采用多点检测,逐层分组并联,从而对棉层厚度进行综合处理。

几何分析法设计天平杆联结方式如下。

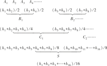
如图4-3 所示,若某横杆的两端位移分别是h1及h2,则其中点的位移是h=1/2(h1+h2),即是两端位移的算术平均值。应用这一原理的设计称为中点联结法。将每相邻两天平杆尾端用一根横杆并联结合,以组成第一层,再取各横杆的中点A1、A2、A3…作下一层的联结点,再用横杆并联结合,以此类推,最后综合点S 的位移变化值也应是各列钳口下棉层厚度变化的算术平均值。

图4-3 天平杆检测装置

图4-4 所示为天平杆检测装置的各中点位移(由于图形对称,省略了右半部分)。

图4-4 天平杆检测装置的中点联结法

由图4-4 可得:

中点联结法要求天平杆根数为2m,m=1,2,3,…