1
光学教程
1.8.3.2 二、正常色散
二、正常色散

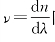
反映折射率与波长的函数关系n=f(λ)的曲线称为色散曲线。利用棱镜测量出不同波长入射光的最小偏向角,再根据最小偏向角与材料折射率的关系可得到棱镜材料的色散曲线,图6-6是在可见光范围内几种透明介质的色散曲线。

图6-6 几种光学材料的色散曲线

从图6-6可以看出,这些介质的色散曲线具有如下特点:

(1)波长越长,折射率越小。

(2)随着波长增大,色散率降低。

(3)波长很长时,色散率趋于0。

这样的色散称为正常色散。当一束白光通过介质发生正常色散时,根据上述特点可以断定:白光中紫光比红光偏折得更厉害,在形成的光谱中,紫端比红端展得更开。

1836年柯西给出正常色散的折射率随波长变化的经验公式,称为柯西公式:

式中,λ为光在真空中的波长,A、B、C为与介质有关的常数,其数值由实验数据来确定,当波长变化范围不大时,柯西公式可只取前两项,即,则介质的色散率为

A、B均为正值,上式表明折射率和色散率的数值都随波长的增加而减小,当发生正常色散时,介质的色散率小于零。