1
光学教程
1.7.5.2 二、伽利略望远镜
二、伽利略望远镜

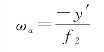
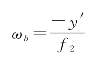
伽利略望远镜是由一个正透镜和一个负透镜组成的共轴光具组,如图5-11所示,其物镜的像方焦点F'1和目镜的物方焦点F2是重合的,由远处物体发出的平行光经物镜后本应会聚于物镜的像方焦平面上成一实像P'Q',但由于目镜的折射,最后成像于无限远处。用望远镜观察物体时,物体对人眼所张的视角ωa如图5-11所示,为

式中,f2为目镜的焦距,不用望远镜而用肉眼观察物体时的视角为如图5-11所示的ωb,由图可得

式中,f'1是物镜的焦距,由上两式可得伽利略望远镜的放大率为

由此可知,伽利略望远镜的放大率和天文望远镜的放大率表达式是一样的,但对于伽利略望远镜来说目镜采用的是负透镜,其像方焦距f'2为负,故形成的像是正立的。

图5-11 伽利略望远镜光路图和放大本领