1
光学教程
1.3.3.2 二、干涉条纹的可见度
二、干涉条纹的可见度

相干条件是实现干涉的必要条件,但满足相干条件的光波不一定就能产生干涉现象,影响干涉条纹质量的因素较多,为描述干涉条纹的清晰程度,我们定义干涉条纹的可见度

式中,Imax和Imin分别是干涉条纹光强的极大值和极小值。当暗条纹光强度Imin=0时,γ=1,可见度最大,条纹最清晰。当Imax≈Imin时,γ≈0,可见度最小,光强均匀分布,条纹完全消失。

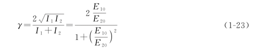
理想的两单色相干光的干涉,其可见度为

即干涉条纹的可见度取决于两光波的振幅比。E10=E20,γ=1,可见度最大。

若E10≫E20或E10≪E20则γ≈0,因此,要获得较清晰的干涉图样,两相干光波振幅相差不能太大。

对于实际干涉场来说,影响干涉条纹可见度的主要因素是光源的宽度(即光的空间相干性)以及光源的单色性(即光的时间相干性)。