14.2 减速器内部传动零件的设计
减速器外部传动零件设计完成后,可进行减速器内部传动零件的设计。减速器内部(闭式)的传动零件主要有圆柱齿轮传动、锥齿轮传动和蜗杆传动等。
1.闭式圆柱齿轮传动设计
设计闭式圆柱齿轮传动时的已知条件和设计内容与开式齿轮传动相同。
设计闭式圆柱齿轮传动时需注意以下问题:
(1)齿轮材料及热处理的选择,应考虑齿轮的工作条件、传动尺寸的要求、制造设备条件等。当要求传递功率大、传动尺寸紧凑时,则可选用合金钢,并采用表面淬火或渗碳淬火等热处理方式;当对传动尺寸没有特别的要求时,则可选用普通碳素钢,并采用正火或调质等热处理方式。当齿轮的顶圆直径da≤400~500mm时,一般采用锻造毛坯;当da>400~500mm或结构形状复杂时,因受锻造设备能力的限制,才采用铸钢制造。当齿轮直径与轴的直径相差不大时,应将齿轮和轴做成一体,即齿轮轴,选择材料时要兼顾齿轮与轴的一致性要求;同一减速器内各级大小齿轮的材料最好对应相同,以减少材料牌号和简化工艺要求。
(2)齿轮传动的几何参数和尺寸应分别进行标准化、圆整或计算其精确值。例如模数必须取标准值,中心距和齿宽应该圆整,分度圆、齿顶圆和齿根圆直径、螺旋角、变位系数等啮合尺寸必须计算其精确值。计算时要求长度尺寸精确到小数点后2~3位(单位为mm),角度精确到秒(″)。为了便于制造和测量,中心距应尽量圆整成尾数为0或5,对于直齿圆柱齿轮传动,可以通过调整模数m和齿数z,或采用角变位来实现;对于斜齿圆柱齿轮传动,还可以通过调整螺旋角β来实现,但需注意,斜齿圆柱齿轮的螺旋角β通常控制在8°~20°。
(3)齿轮的结构尺寸都应尽量圆整,以便于制造和测量。例如轮毂直径和长度、轮辐厚度和孔径、轮缘长度和内径等,按图16-6和图16-8中给定的经验公式计算后进行圆整。
(4)齿宽b应是一对齿轮的工作宽度,为补偿齿轮轴向位置误差,应使小齿轮齿宽大于大齿轮齿宽,若大齿轮齿宽取b2,则小齿轮齿宽b1=b2+(5~10)mm。
2.闭式圆柱齿轮传动设计示例
例14-5:设计一如图14-1所示的用于带式运输机的单级斜齿圆柱齿轮减速器。已知减速器中的小齿轮输入功率PⅡ=2.488kW,转速nⅡ=456.431r/min,斜齿圆柱齿轮传动比i=3.505。运输机连续工作,单向运转,载荷变化不大,空载起动,每天两班制工作,使用期限10年(每年300个工作日),传动比允许误差为±5%。
解:1)选择齿轮类型、精度等级、材料及齿数
(1)根据要求选用斜齿圆柱齿轮传动。运输机为一般工作机器,速度不高,故齿轮选用7级精度。
(2)材料的选取。由表5-20选择小齿轮为40Cr,调质处理,硬度为280HBW;大齿轮为45钢,调质处理,硬度为240HBW,两者材料硬度相差为40HBW。
(3)选择小齿轮齿数为z1=24,大齿轮齿数z2=3.505×24=84.12,取z2=85。
(4)选取螺旋角。初选为β=8°。
(5)选取齿轮压力角。αn=20°。
2)按齿面接触疲劳强度设计

(1)确定公式中的各个参数值。
①试选载荷系数KHt=1.6。
②计算小齿轮传递的转矩。

③根据齿轮相对于轴承对称布置,由表5-25选取圆柱齿轮齿宽系数φd=1。
④由表5-24查得材料的弹性影响系数
。
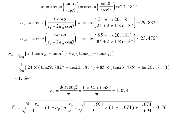
⑤计算接触疲劳强度用重合度系数Zε。

⑥计算螺旋角系数Zβ。

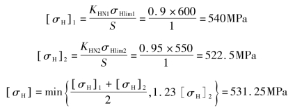
⑦由图5-13d按齿面硬度查得小齿轮的接触疲劳强度极限σHlim1=600MPa,大齿轮的接触疲劳强度σHlim2=550MPa。
⑧应力循环次数。

⑨由图5-11取接触疲劳寿命系数KHN1=0.9,KHN2=0.95。
⑩计算接触疲劳许用应力。取失效概率为1%,安全系数S=1,得许用接触应力

⑪由图5-9选取节点区域系数ZH=2.46。
(2)设计计算。
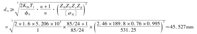
①试算小齿轮分度圆直径d1t,得

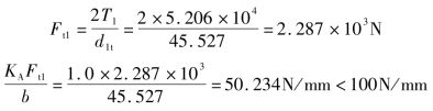
②计算圆周速度v。

③计算齿宽b。
b=φdd1t=1×45.527=45.527mm
④计算实际载荷系数KH。
由表5-21查得齿轮传动使用系数KA=1.0;根据v=1.088m/s,齿轮7级精度,查图5-8得动载荷系数Kv=1.03。齿轮圆周力

由表5-22查得齿间载荷分配系数KHα=1.4;由表5-23用插值法查得齿轮7级精度,小齿轮相对支承对称布置时按接触疲劳强度计算的齿向载荷分布系数KHβ=1.310;故载荷系数
KH=KAKvKHαKHβ=1.0×1.03×1.4×1.310=1.889
⑤按实际载荷系数校正所算得的分度圆直径。

⑥计算模数mn。

3)按齿根弯曲疲劳强度设计

(1)确定公式中的各个参数值。
①试选载荷系数KFt=1.3。
②计算弯曲疲劳强度的重合度系数Yε。

③计算弯曲疲劳强度的螺旋角系数Yβ。

④计算当量齿数zv。

⑤查取齿形系数YFa。由图5-5查得YFa1=2.680,YFa2=2.22。
⑥查取应力修正系数YSa。由图5-6查得YSa1=1.580,YSa2=1.78。
⑦由图5-12c查得小齿轮的弯曲疲劳强度极限σFlim1=500MPa,由图5-12b查得大齿轮的弯曲疲劳强度极限σFlim2=380MPa。
⑧由图5-10查取弯曲疲劳寿命系数KFN1=0.88;KFN2=0.95。
⑨计算弯曲疲劳许用应力。取弯曲疲劳安全系数S=1.4,得

⑩计算大、小齿轮的
。

因为大齿轮的
大于小齿轮,故取

(2)设计计算
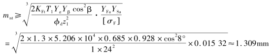
①试算齿轮模数mnt,得

②计算圆周速度v。

③计算齿宽b。
b=φdd1=1×31.725=31.725mm
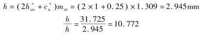
④计算齿高h及宽高比b/h。

⑤计算实际载荷系数KF。
根据v=0.758m/s,齿轮7级精度,查图5-8得动载荷系数Kv=1.01。齿轮圆周力

由表5-22查得齿间载荷分配系数KFα=1.2;由表5-23用插值法查得齿轮7级精度,小齿轮相对支承对称布置时按接触疲劳强度计算的齿向载荷分布系数KHβ=1.310,结合b/h=10.772查图5-7,得KFβ=1.28;故载荷系数为
KF=KAKvKFαKFβ=1×1.01×1.2×1.28=1.551
⑥按实际载荷系数算得的齿轮模数。

对比计算结果,由齿面接触疲劳强度计算的法面模数mn大于由齿根弯曲疲劳强度计算的法面模数。由于齿轮法面模数mn的大小主要取决于弯曲强度所决定的承载能力,而齿面接触疲劳强度所决定的承载能力仅与齿轮直径(即模数与齿数的乘积)有关,所以可取由弯曲疲劳强度算得的模数1.388mm并就近圆整为标准值mn=2mm(参考表5-26,并考虑到用于传动齿轮模数应取mn≥2mm),取按接触疲劳强度算得的分度圆直径d1=48.118mm。从而可算出小齿轮齿数和大齿轮齿数分别为

4)几何尺寸计算
(1)计算中心距。

为了便于制造和测量,中心距应尽量圆整成尾数为0和5,故取a=105mm。
(2)按圆整后的中心距修正螺旋角。

因β值与初选值相差不多,故εα、Kβ、ZH等不必修正。
(3)计算大、小齿轮的分度圆直径。

(4)计算齿轮的宽度。
b=φdd1=1×48.118mm=48.118mm
圆整后取b2=50mm,b1=55mm。
5)齿轮结构设计 可参见图16-6、图16-8设计。
3.闭式直齿锥齿轮传动设计
设计闭式直齿锥齿轮传动时的已知条件与开式齿轮传动相同。
设计闭式直齿锥齿轮传动的主要内容是:选择齿轮材料及热处理方式;确定锥齿轮的大端模数、齿数和齿宽、分度圆直径、锥距、节锥角、顶锥角、根锥角和结构尺寸等。
设计闭式直齿锥齿轮传动时需注意以下问题:
(1)直齿锥齿轮的锥距R、分度圆直径d(大端)等几何尺寸,应按大端模数和齿数精确计算至小数点后三位数值(单位mm),不得圆整。
(2)锥齿轮传动的两轴交角为90°时,分度圆锥角δ1和δ2可由齿数比u=z2/z1算出,其中小锥齿轮的齿数可取17~25。u值的计算应达到小数点后四位,δ值的计算应精确到秒(″)。
(3)大、小锥齿轮的齿宽应相等,按齿宽系数φR=b/R计算出的齿宽b的数值应圆整。
4.闭式蜗杆传动设计
设计闭式蜗杆传动时的已知条件与开式齿轮传动相同。
设计闭式蜗杆传动的主要内容是:选择蜗杆和蜗轮的材料及热处理方式;确定蜗杆头数、模数和导程角、蜗轮齿数、模数和螺旋角、分度圆直径、齿顶圆直径、齿根圆直径、传动中心距及结构尺寸等。
设计闭式蜗杆传动时需注意以下问题:
(1)由于蜗杆传动的滑动速度大,摩擦发热剧烈,因此要求蜗杆蜗轮副材料具有较好的耐磨性和抗胶合能力。一般是根据初估的滑动速度来选择材料。待蜗杆传动尺寸确定后,应校核滑动速度和传动效率,如与初估值有较大的出入,则应重新修正计算,其中包括检查材料选择是否恰当。
(2)为了便于加工,蜗杆和蜗轮的螺旋线方向应尽量取为右旋。
(3)模数m和蜗杆分度圆直径d1要符合标准值。在确定m、d1和z2后,计算中心距应尽量圆整成尾数为0或5。为此,常需将蜗杆传动做成变位传动,即对蜗轮进行变位(蜗杆不变位),变位系数应为-1≤x2≤1。如不符合,则应调整d1值或改变蜗轮1~2个齿数。
(4)蜗杆分度圆圆周速度v≤4~5m/s时,一般将蜗杆下置;蜗杆分度圆圆周速度v>4~5m/s时,则将蜗杆上置。
(5)闭式蜗杆传动因发热大,易产生胶合,故应进行蜗杆传动的热平衡计算,此外还要进行蜗杆的强度和刚度验算,但均须在蜗杆减速器装配工作底图完成后进行。
【注释】
[1]压轴力系数KFp:当水平传动时,取KFp=1.15;当垂直传动时,取KFp=1.05。