1
机械设计课程设计手册 第2版
1.6.3.1.1 14.1.1 普通V带传动
14.1.1 普通V带传动

1.普通V带传动设计

设计普通V带传动所需的已知条件主要有:原动机种类和所需传递的功率;主动轮和从动轮的转速(或传动比);工作条件及对外廓尺寸、传动位置的要求等。

设计V带传动的主要内容是:选择带的型号;确定带的基准长度和根数、传动中心距、带轮的材料、基准直径和结构尺寸、初拉力和压轴力等。

设计普通V带传动时需注意以下问题:

(1)检查设计的参数是否在合理的范围内,如带速v是否在5~25m/s、小带轮包角是否满足α≥120°、带的根数是否符合z≤4~5的要求等,以保证带传动具有良好的工作性能。

(2)带轮尺寸确定后,应检查其与传动装置外廓尺寸的相互关系,如电动机轴上的小带轮半径是否小于电动机的中心高;小带轮轴孔直径、长度是否与电动机外伸轴径、长度相对应;大带轮外圆是否与其他零件(如机座)相碰等。

(3)带轮的结构形式主要由带轮直径而定,其具体结构及尺寸见表5-9,并画出结构草图,标明主要尺寸备用。在确定大带轮轮毂孔的直径和长度时,应注意与减速器输入轴轴头的直径和长度相适应。轮毂孔的直径一般应符合标准规定(见表1-19)。带轮轮毂长度与带轮轮缘长度不一定相等,一般轮毂长度按轴孔直径确定[l=(1.5~2)d],而轮缘长度则由带的型号和根数来确定。

(4)带轮直径确定后,应根据该直径计算带传动的实际传动比和从动轮的转速,并以此修正减速器所要求的传动比和输入转矩。

2.普通V带传动设计示例

例14-1:有一带式输送装置,其三相交流异步电动机与齿轮减速器之间用普通V带传动,电动机功率P=7kW,转速n1=960r/min,减速器输入轴的转速n2=330r/min,允许转速误差为±5%,运输装置工作时有轻度冲击,两班制工作,试设计此带传动。

解:1)确定计算功率Pca由表5-1查得带传动工作情况系数KA=1.2,故

Pca=KAP=1.2×7=8.4kW

2)选择V带的带型 根据Pca=8.4kW、n1=960r/min,查图5-1,选用B型V带。

3)确定带轮的基准直径dd并验算带速v和减速器输入轴的转速误差

(1)初选小带轮的基准直径dd1。由表5-2,并参考图5-1取小带轮的基准直径dd1=140mm。

(2)验算带速v。

因为5m/s<v<30m/s,故带速合适。

(3)计算大带轮的基准直径dd2

根据表5-2,圆整为标准值dd2=400mm。

减速器输入轴转速的误差:,合格。

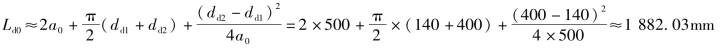
4)确定V带的中心距a和基准长度Ld

(1)根据0.7(dd1+dd2)≤a0≤2(dd1+dd2),初定中心距a0=500mm。

(2)计算带所需的基准长度。

由表5-3选带的基准长度Ld=1 950mm。

(3)计算实际中心距a。

因此中心距的变化范围为504.735~592.485mm。

5)验算小带轮的包角α1

6)计算带的根数z

(1)计算单根V带的额定功率Pr。由dd1=140mm、n1=960r/min和B型V带,查表5-4,采用线性插值得P0=2.10kW。

根据和B型V带,查表5-5,采用线性插值得ΔP0=0.303kW。

由小带轮包角α=152.10°查表5-6,采用线性插值得小带轮包角修正系数Kα=0.924,由基准长度Ld=1 950mm及B型V带查表5-3得带长修正系数KL=0.97,于是

Pr=(P0+ΔP0)KαKL=(2.10+0.303)×0.924×0.97=2.154kW

(2)计算V带的根数z。

取4根。

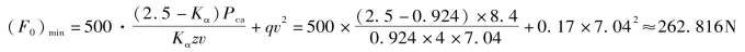
7)计算单根V带的初拉力的最小值(F0min由表5-7得B型V带的单位长度质量q=0.17kg/m,所以

应使带的实际初拉力F0>(F0min

8)计算压轴力Fp压轴力的最小值为

9)带轮结构设计 带轮材料采用HT150,其结构设计可参考表5-8和表5-9。