目录
1
人生-潇湘诗文选集
1.1
目录
1.2
散文部分
1.3
诗歌部分
1.3.1
抒情诗
1.3.2
记事写景诗
1.3.3
回眸往事 抒情诗
1.3.4
记事诗
1.3.5
中秋返故乡
1.3.6
新建专题目录
1.4
议论文(杂谈)部分
1.5
后记
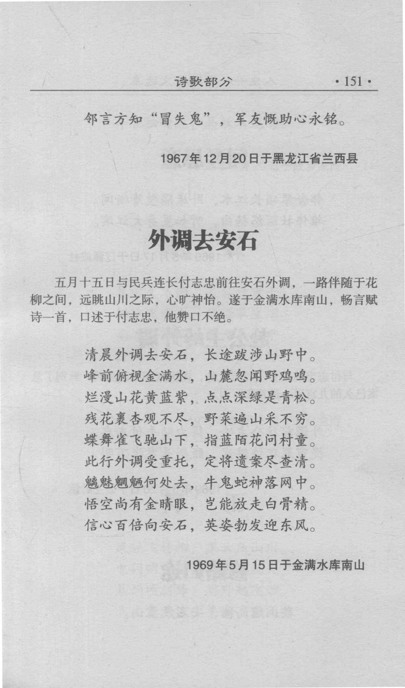
1.3.4
记事诗
上一页
下一页