5-5-2 维生素(B族)
维生素,是维持生命有机体正常生命活动过程所必需的一类物质。就目前所发现的维生素来说,种类很多,结构各异,但均为小分子的有机化合物。就其功能来讲,维生素既不是构成组织的原料,也不是供能物质,但它确是生物生长发育和进行新陈代谢不可缺少的一类物质,尤其是B族维生素,因为它是酶的辅酶的组成成分。故缺乏维生素就会代谢失调,生长停止,疾病随之发生。
高等植物一般可以合成自身所需的各种维生素;有些微生物也能合成自身所需要的维生素,如核黄菌能合成维生素B2,有些则不能,须由外界供给某种维生素才能正常生长。人体内的肠道细菌可以合成一定量的维生素,以供人体需要。除维生素D外,动物基本上不能自身合成所需的维生素或者即使能合成其量也很少,必须由食物中供给。
人类最早发现的人体所缺乏的维生素之一就是抗坏血酸,尤其是对于海上长期航行的海员,坏血病是个致命的威胁。据统计,英国在1593年死于坏血病的海员竟达到1万人。在欧洲一些航海和探险的传记中记载了大量的坏血病病例,但这些病人却不能用当时已知的人体所需的营养素来治疗好。1753年,苏格兰海军军医詹姆斯·林德(James Lind)发现此病与饮食有关,只要饮用橘子汁、柠檬汁,就可治疗和预防坏血病。
1886年,荷兰医生克里斯蒂安·艾克曼(Christiaan Eijkman)发现脚气病的发生与食米的精、糙有关,可能是由于缺乏米糠中的某种成分引起的。他以鸡做实验,发现鸡长期食用精米后,会产生与人相同的脚气病,并因此获得了1929年诺贝尔生理学或医学奖。1910年波兰学者冯克(Funk)从米糠中提取出一种胺类物质,可治疗脚气病(其实是烟酸,效果并不好),他把它命名为“活性胺”(Vita-amino)。
此后,在天然食物中又陆续发现了许多为动物和微生物生长所必需的物质,并证明大多数并不是胺类物质,故把这类物质统称为维生素(Vitamin),意即维持生命之要素。
目前已知的维生素有30多种,其化学结构复杂多样,有胺类、醇类、酚类、醛类等,难以用一般有机化合物的分类方法来分类。目前多根据溶解性质将维生素分为两大类:脂溶性维生素,如维生素A、维生素D、维生素E和维生素K等;水溶性维生素,包括维生素C和B族维生素等。
脂溶性维生素和维生素C在上一章已作过介绍,它们是由碳、氢、氧元素构成的。在水溶性维生素中,除了维生素C外,大部分都是含氮化合物,就都被称之为B族维生素。B族维生素有着共同的特点,那就是:都是水溶性的,都是辅酶的重要组成部分或者本身就是辅酶,也都是含氮的化合物。它们共有以下几种:
1.维生素B1
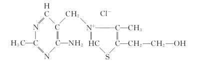
维生素B1又名硫胺素,它是含硫的胺化合物,是脱羧酶的辅酶的重要组成部分。1886年艾克曼发现米糠可以治疗脚气病,到1926年荷兰科学家Jansen和Donath才真正分离出抗脚气病的维生素,命名为抗脚气病维生素;接着,美国科学家Williams于1936年完成结构测定,并进行了人工合成,因结构中含有硫和胺基(见图5-19),又命名为硫胺素。

图5-19 维生素B1的结构式
维生素B1参与糖的代谢,缺乏维生素B1时,使丙酮酸氧化脱羧反应(糖类和氨基酸的代谢反应)产生障碍,将形成丙酮酸、乳酸在组织中堆积,造成下肢麻木和刺痛,即为脚气病。正常神经组织的能量代谢也同时受影响,特别是神经髓鞘的功能受到影响,可以发生多发性神经炎。还会引起周围血管扩张,阻力减低,静脉血流加速,因而静脉回血增加,久而久之导致心力衰竭。18~19世纪间,脚气病曾在东亚,尤其在东南亚一带广为流行,每年约有数十万人死于脚气病。
维生素B1还具有抑制胆碱酯酶活性的作用。缺乏维生素B1时,胆碱酯酶活性过高,乙酰胆碱分解过快,形成消化道平滑肌的蠕动减弱,消化腺的分泌减少,出现消化机能障碍。因此,维生素B1常被用于治疗消化功能障碍。
维生素B1存在于种籽的胚芽和表皮内,谷类、豆类和坚果中都富含维生素B1,牛肉、猪肉、牛奶等食品也含有维生素B1。饮酒的人要特别注意,酒精在体内的正常代谢必须依靠足量的维生素B1,因此大量饮酒会造成体内维生素B1供应不足,若不及时补充,将增加酒精对肝脏和脑神经的危害。
2.维生素B2
维生素B2又叫核黄素。早在1879年,英国化学家就发现在乳清中存在着一种黄绿色的荧光色素,他们用各种方法提取,但没有成功。1933年德国科学家库恩(Richard Kuhn)从牛奶中分离出核黄素,1935年他完成核黄素结构的测定(见图5-20)和人工合成,获得了1938年诺贝尔化学奖。维生素B2是橙黄色针状晶体,味微苦,水溶液有黄绿色荧光,在碱性或光照条件下极易分解。人体缺少它易患口腔炎、皮炎、微血管增生症等。

图5-20 维生素B2的结构式
维生素B2是氧化酶的辅酶的组成部分,是组织呼吸所需要的重要组成成分,是转移氢原子(电子)的载体,对细胞氧化起重要作用。还是组成体内12种以上酶体系统的活性部分,其中重要的酶有细胞色素还原酶、心肌黄酶、黄质氧化酶及组氨酶等。这些酶参与糖类、蛋白质、核酸等的代谢,能够提高蛋白在体内的沉积,促进生长发育。
严重缺乏维生素B2会产生口角炎、舌炎、鼻和脸部的脂溢性皮炎,使眼球呈多血管症状、角膜发红、充血等,也会引起头发脱落。B2还参与血红蛋白的形成,因而缺乏维生素B2会引起恶性贫血。成人每天大约需维生素B21.5毫克。它存在于米糠、蘑菇、麦芽、瘦肉、牛奶、鱼、蛋、动物肝和肾、绿色蔬菜内。值得一提的是黄豆芽的维生素B2含量要比黄豆高2~4倍,每百克含有0.1毫克。另外,黄豆不含维生素C,而每百克黄豆芽却含维生素C10毫克。植物和微生物能合成所需要的B2,动物体一般不能合成。甲状腺疾病会影响到维生素B2的吸收。
3.维生素B3
维生素B3又叫尼克酸、烟酸,是含氮的简单有机化合物(见图5-21)。1912年波兰科学家冯克(Funk)提出维生素的概念,并从半糖中提取出尼克酸,但是尼克酸防治糙皮病的作用直到1937年以后才由美国科学家埃尔维耶姆(Concarad Arnold Elvehjem)等证实。

图5-21 维生素B3的结构式
尼克酸在体内能合成辅酶Ⅰ、辅酶Ⅱ。它参与氧化还原反应,起转移氢原子(电子)的作用,是脱氢反应的辅酶的组成部分,是脂质代谢及组织呼吸的氧化作用所必需的。人每天需烟酸15毫克。缺乏烟酸会产生癞皮病、角膜炎、神经和消化系统的障碍。癞皮病的主要症状是:皮炎(分泌黏液的膜发炎,舌头和口腔疼痛);腹泻(直肠炎);以及精神上的变化,如急躁、忧虑、抑郁,严重时会产生神经错乱、幻觉、呆症等。有证据表明,每天摄入1~2克烟酸,可降低血清胆固醇水平,其原理可能是烟酸干扰了胆固醇或脂蛋白的合成,或是促进了脂蛋白脂酶的合成,这种酶能分解脂蛋白而降低血脂水平。
维生素B3在动物食品中含量较多,人体内能把色氨酸转变成烟酸;在肝、肾、瘦畜肉、鱼以及坚果类中含量丰富;在乳、蛋中的含量虽然不高,但色氨酸较多,可转化为烟酸。谷类中的烟酸80~90%存在于种皮中。玉米含烟酸量并不低,可是以玉米为主食的人群容易发生癞皮病。其原因是玉米中的烟酸为结合型,不能被人体吸收利用。过量烟酸会引起面部潮红、皮肤搔痒,动物试验证明过量烟酸会损害肝脏,引起消化道溃疡。
4.维生素B6
除烟酸外,1926年发现在饲料中缺乏另一种维生素时,也会诱发老鼠的糙皮病,后来将此种能预防大鼠皮肤损害的物质定名为维生素B6。1938年美国科学家Lepkovsky获得了维生素B6的结晶,该结晶遇光或碱易破坏,不耐高温。
维生素B6又称吡哆素,主要形式有吡哆醇、吡哆胺和吡哆醛(图5-22)。以5-磷酸吡哆醛的形式作为转氨基反应中的辅酶,也参与α-氨基酸脱羧以及脂质和核酸的代谢,并且是糖原磷酸化酶的必需辅酶。维生素B6是含硫氨基酸及色氨酸正常代谢所必需,参与烟酸的形成。维生素B6能增加氨基酸及钾离子逆浓度进入的运转速度。缺乏维生素B6会产生皮炎、舌炎、贫血、过敏。人每天约需要维生素B62毫克。谷类、花生、核桃、肉、鱼、蛋、奶中富含维生素B6,一般人通过食物摄取已经足量。

图5-22 维生素B6的结构式
5.维生素B12
1948年美国科学家Rickes等与英国科学家Smith和Parker各自从肝浓缩物中提取出维生素B12,可用于治疗恶性贫血。英国科学家霍奇金(Hodgkin)等于1955年完成了维生素B12结构的测定,她因此获得了1964年诺贝尔化学奖。
维生素B12化学性质稳定,是人体造血不可缺少的物质,缺少它会产生恶性贫血症。人体每天约需12微克,人在一般情况下不会缺少。
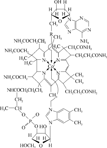
它是一种含有金属元素钴的维生素(结构式见图5-23),结构复杂,又叫氰钴素,是一种辅酶。它能协助某些转移甲基的酶发挥作用,参与体内一碳基团的代谢。维生素B12参加的许多代谢过程中最重要的是参与核酸和蛋白质的合成,它能促进细胞的发育和成熟。特别是促进红细胞成熟。缺钴时由于红细胞成熟延迟,会出现巨红细胞。这是因为维生素B12参与核酸合成,当它缺乏时,核酸合成受阻,红细胞就长得很大而不能正常成熟。维生素B12还能促进胃肠道对铁的吸收,使储存的铁动员出来参与造血,使之较易进入骨髓。缺乏维生素B12造成的恶性贫血,是无法用铁制剂治愈的,而只能用维生素B12治疗。

图5-23 维生素B12的结构
人每天只需维生素B120.003毫克。缺乏维生素B12,能使红细胞中DNA合成障碍,诱发巨幼红细胞恶性贫血。肉、鱼、蛋、奶中有维生素B12,大肠内的细菌也能合成维生素B12。大量维生素C存在时,对其有破坏作用。美国的一位专家认为,体内一旦缺乏维生素B12,一开始患者会感到异常疲倦及手脚刺麻,渐渐还可能导致神经系统发生病变,包括四肢震颤、丧失感觉、行走或保持身体平衡困难,严重的还会损害心智功能,甚至造成脊椎退化,发展为瘫痪。实际上,占相当比例的老年痴呆症患者体内就缺乏维生素B12,因此,维生素B12缺乏,可能与老年痴呆症“息息相关”。
维生素B12缺乏时还会抑制甲硫氨酸合成酶的作用,使同型半胱氨酸转变成甲硫氨酸的过程受阻而堆积在体内,形成高同型半胱氨酸血症。同型半胱氨酸又称为高半胱氨酸,是一中间代谢产物,它是半胱氨酸的旁链部分硫醇基(—SH)前多连接了一个额外的亚甲基(—CH2—)。20世纪70年代初科学家已通过动物模型证实同型半胱氨酸血中蓄积可导致血管损害,80年代人们又提出高同型半胱氨酸血症容易患上血栓症,是动脉粥样硬化和冠心病的一个独立危险因素。
现代科学研究发现,食用菌不仅含有麦角固醇,还含有丰富的B族维生素,有硫胺素、核黄素、尼克酸、维生素B12等,这些都是人体容易缺乏的水溶性维生素。特别是维生素B12,主要分布在动物性食物中,老年及素食者常因此而缺少。多吃菌菇类食物,可有效补充B12,预防恶性贫血和老年痴呆,改善神经功能。
6.泛酸
泛酸又名维生素B5。1933年美国科学家R.J.Williams等从酵母中分离出泛酸(见图5-24),它可治愈鸡的皮炎,故亦称抗鸡糙皮病维生素,在1940年人工合成获得成功。它是一种广泛存在于动植物组织中、作用很强的生长因子,又是酸性物质,故被称为泛酸。直到1950年才由Lipmann等证明泛酸是辅酶A的成分。泛酸主要在微生物中形成,很多乳酸菌和乙酸菌都需要这些因子,它是乙酰化酶的辅酶的重要组成成分。人每日需4~7毫克。泛酸缺乏会造成胃肠道不适。它能由动物肝脏、牛肉、蛋、奶、豆、卷心菜等食物获得。由于在全部已知食物中都有足够量的泛酸,而且人体肠道细菌也可以合成,因此并未发现人类患泛酸缺乏症。动物缺乏泛酸会生长不良,发生皮炎、肾脏损伤、贫血等。

图5-24 维生素B5的结构式
7.叶酸
叶酸又叫维生素B11,1941年由米切尔(H.K.Mitchell)及其同事首次从菠菜叶中提取纯化出来,命名为叶酸(见图5-25)。叶酸在动物肝脏和诸如菌类和酵母等微生物中也能找到,还存在于青草、蝴蝶翅膀和鱼鳞之中。它是一碳基团的传递体,是一碳基团转移酶系统的辅酶的组成部分,可以帮助构造其他分子。在人体内,一碳基团的转移与嘌呤、嘧啶的合成及氨基酸的代谢都有密切关系,在需要时它能将单个碳原子单元交给DNA这样的细胞成分和甲硫氨酸这样的氨基酸,是DNA合成与修复的重要原料。

图5-25 叶酸的结构式
人体在核酸合成、生长发育以及造血活动中都需要叶酸,叶酸缺乏时,一碳基团传递受阻,核酸合成及氨基酸代谢均受影响,而核酸及蛋白质合成正是细胞增殖、组织生长和机体发育的物质基础,因此,叶酸对于细胞分裂和组织生长有着极其重要的作用。骨髓中幼红细胞分裂增殖速度会因叶酸缺乏而减慢,停留在巨幼红细胞阶段使成熟受阻,引起贫血。
1945年美国科学家Angier等完成了叶酸的分离与合成,证明叶酸对孕妇巨幼红细胞性贫血和热带口炎性腹泻有治疗作用。近年来研究发现胎儿的神经管畸形与叶酸缺乏有关。孕妇的叶酸不足,胎儿就不能正常发育,甚至会造成脊柱裂的孩子出生,这些孩子脊髓暴露在外,结果会因脊髓受损而引起腿部麻痹。我国每年约有8万~10万神经管畸形患儿出生,在各种出生缺陷中居首位。
女性可以通过吃一些含叶酸较多的食物,如肝脏、芦笋、菠菜、小扁豆、花生、蘑菇、蛋等,在体内储存叶酸。在国外,有些面包里也加了叶酸。各种食品中叶酸含量较多的是肝脏,约为百万分之250,另外还有菠菜(90)、椰菜(65)和橘子(50)。值得一提的是菠菜除含有丰富的叶酸外,还含有较多的铁,因此一些研究者认为菠菜所富含的叶酸和铁能够促进红细胞的合成,提高血携氧量,从而加快血液循环,促进肌肉的生长。
叶酸与其他水溶性维生素不同的是人体可以在肝脏里储存叶酸,但对于孕妇、老人或患有腹泻的病人来说,如果不能从饮食或肠内细菌中获得足够的叶酸,肝脏内存储的叶酸就会耗尽。寄生在人体肠道内的细菌也能够产生叶酸并为人体所吸收,但它们只能提供人体所需的一小部分叶酸。叶酸缺乏还会导致抗体形成减少、人脑中的血清素减少,易导致精神性疾病。近来又认为叶酸也有抗癌作用。
纯净的叶酸能够在温水中形成深黄色晶体,在沸水中加热就会分解,而且光照之后叶酸也会遭到破坏。因此,食物中所含的这种维生素大部分在烹制过程中被破坏了。那些含叶酸较多的蔬菜,如花椰菜和菠菜等,只要稍煮一下就可以了。
世界卫生组织建议每人每天摄入400微克叶酸,因此叶酸也是我国正在积极推广的强化面粉中要求强化的一种维生素。在包括美国和德国在内的许多国家,规定必须在面粉和谷物食品中添加一定量的叶酸,以确保怀孕的妇女在怀孕早期还不知晓怀孕的情况下能够摄取足够的叶酸。另外,瑞典科学家经过长期研究还发现,叶酸和维生素B12对老年性痴呆有较好的防治作用。
但是,长期增加合成叶酸的用量的安全隐患还是一个未知数,例如,有人担心高剂量的叶酸可能会加速某种癌症的恶化。2005年英国《遗传学自然评论》发表了澳大利亚奥林巴的纽卡斯尔大学以及英国利兹大学的研究人员的文章,指出母亲食用含有丰富叶酸食品的婴儿更易携带一种与叶酸的新陈代谢有关的特殊形态的基因,这种基因变异可能会对健康产生一种负面的影响,在食物中强化叶酸的做法因此可能会慢慢地改变人口的基因组成,从而可能导致后代对于一些致命性疾病的抵抗力减弱,因此,叶酸强化的推广还应该进行更多的论证为好。2009年,爱尔兰科学家的最新研究显示,叶酸摄入过多有增加患癌的风险,因此建议政府停止在食物中普遍强制添加叶酸的计划。研究人员已在医院抽取的20名产妇血样中发现,有18个含有未经充分代谢的叶酸;在这20名新生儿中,也有17人脐带血中含有未经充分代谢的叶酸。
8.生物素
1936年,德国的Kogl和Tonnis从煮熟的鸭蛋黄中分离出一种结晶物质,它是酵母生长所必需的,称之为“生物素”,又名维生素B7。生物素后来在1940年被证实是哺乳动物必需的一种营养素。1942年,du Vigneaud等提出了生物素的化学结构(见图5-26)。其结构式中含有一个脲基环和一个硫原子,有8种异构体。1943年生物素被人工合成。

图5-26 生物素的结构式
生物素是人体内羧化酶等多种酶的辅酶,参与体内的脂肪酸和糖类化合物的代谢;促进蛋白质的合成;还参与维生素B12、叶酸、泛酸的代谢;促进尿素合成与排泄。生物素能与蛋白质结合成促生物素酶,有脱羧和固定CO2的作用。生物素可影响骨骼的发育、羽毛色素的形成以及抗体生成等。人体缺乏它就会患皮炎,头发稀疏的男性摄入生物素,防止脱发效果明显。由于肠道细菌可合成生物素,因此不易准确确定生物素的需要量。生物素以微量广泛地存在于动物及植物的组织中。成年人每天需要30~100微克。药理剂量的生物素可降低I型糖尿病人的血糖水平,改善实验大鼠的葡萄糖耐量,降低胰岛素抗性。
9.其他B族维生素
上述B族维生素都有着共同的特点:溶于水,含有氮元素,为辅酶的组成部分。此外,还有一些与B族维生素有着明显不同特点的维生素,它们中有被称为类维生素的硫辛酸,还有肌醇和胆碱,以及维生素U和维生素P等,由于它们都具有水溶性,因而也被归于B族维生素。
(1)硫辛酸、肌醇和胆碱。
1)硫辛酸,又叫维生素N,是存在于细胞粒线体中的一种辅酶,被认为是类维生素。硫辛酸与上述B族维生素明显不同的是它不含氮,并兼具脂溶性与水溶性的特性,而且它是生命体自身所具有的天然化合物。
20世纪30年代,人们发现酵母及一些微生物的生长需要一种所谓的“马铃薯生长因素”。1957年,这种化合物被成功提取并正式命名为硫辛酸。
硫辛酸可以传递氢,其氧化型和还原型之间相互转化的反应如图5-27所示。

图5-27 硫辛酸氧化型和还原型之间相互转化的反应
在高能化合物ATP的来源中,糖类化合物、脂肪和蛋白质等氧化分解为二氧化碳和水,需要经过三个阶段,其中第一个阶段是酵解阶段,就是葡萄糖转变为丙酮酸;第二阶段是柠檬酸循环阶段,即丙酮酸氧化脱羧为二氧化碳和水。α-硫辛酸就是这第二阶段中α-酮酸氧化脱羧酶系的辅酶。如果人体缺乏α-硫辛酸,葡萄糖的氧化分解只能停留在第一阶段,仅产生总量16.7%的ATP。也就是说,没有α-硫辛酸,葡萄糖转换为能量(ATP)的效率只有16.7%。不仅是葡萄糖浪费了,还产生大量的酸性代谢物,加重对人体的伤害。但同时细胞仍然缺少能量,还要继续摄入葡萄糖,从而引起血糖上升,就可能导致糖尿病。因此α-硫辛酸通过参与α-酮酸的氧化脱羧作用而促进葡萄糖的代谢,达到稳定血糖的作用。
硫辛酸还是一种内源性抗氧化剂,极易被氧化,因而具有较强的抗氧化作用。人体在通常情况下可以自行合成硫辛酸(利用脂肪酸合成过程中的中间产物),但是体内的硫辛酸含量通常很低。环境污染和食物过量又造成了人体中产生较多的氧自由基,增加了人体α-硫辛酸的消耗。另外,α-硫辛酸在人体缺乏维生素C和维生素E时,还要替代它们。最终就可能引起人体中α-硫辛酸的缺乏,诱发人体一系列疾病。
硫辛酸能和自由基作用,从而能保护人体不受到自由基的损害,由于它兼具脂溶性与水溶性,可以在细胞的脂肪性与水性部分自由进出,从而能保护人体内所有不同种类的细胞。
人体可以通过食物来摄取硫辛酸。肉类、动物心脏、肾、肝及肌肉中均含有少量硫辛酸(小于1毫克/千克)。在少数蔬菜如菠菜中也可以发现硫辛酸的存在。但在食物的加工过程中,α-硫辛酸容易被大量破坏。
目前,欧美一些发达国家,已把α-硫辛酸作为保健品,认为它具有抗氧化、抗衰老和降血糖等功能,而且在医疗上也有较多的研究和应用。据一些媒体报道:体外实验已证明,硫辛酸可刺激细胞对葡萄糖的吸收,具有和胰岛素相似的功能。硫辛酸还可有效抑制白内障的生成。不仅对自由基有作用,同时还能修复眼部的被破坏的谷胱甘肽。青光眼病人在服用硫辛酸后,眼压及视力都能得以改善。硫辛酸还被证明能改善老年痴呆症病人的认知功能及其他由创伤或中风引起的记忆功能缺失。动物实验显示硫辛酸可以降低血液胆固醇的含量。
2)肌醇,即环己六醇(见图5-28),是环己烷的多元烃基衍生物,并不含氮元素,也不构成辅酶。

图5-28 肌醇的结构式
肌醇分布很广,在微生物、动物中广泛发现,存在于动物心脏、肌肉和未成熟的豌豆中,几乎所有生物都含有游离态或结合态的肌醇。但对它的代谢途径或生理机能还不十分清楚。只是在医学上已有较多使用,认为它具有与维生素B1类似的作用,是机体内脂类代谢所必需的,促进肝及其他组织中脂肪的新陈代谢和细胞的生长。
3)胆碱,分子式为[HOCH2CH2N(CH3)3]OH,是一种强有机碱,是卵磷脂的组成成分,也存在于神经鞘磷脂之中,还是体内蛋氨酸合成所需甲基的主要来源之一,参与单碳代谢的过程。胆碱虽含氮元素,但也不构成辅酶。人体能合成胆碱,一般不会造成缺乏病症。胆碱是少数能穿过“脑血管屏障”的物质之一。能帮助生成乙酰胆碱,传送刺激神经的信号,有防止年老记忆力衰退的作用。胆碱可以乳化胆固醇,避免胆固醇积蓄在动脉壁或胆囊中。羊水中胆碱浓度为母血的10倍。在新生儿阶段,大脑从血液中吸取胆碱的能力是极强的,此时,母乳可提供大量胆碱。食物中,肝脏、花生、大豆的胆碱含量丰富,花菜、莴苣中也不少。
综上所述,硫辛酸、肌醇和胆碱都是动物生命体中天然存在的可以自身合成的化合物,这一点也与其他B族维生素有着明显的不同,它们并不是严格意义上的维生素。
(2)维生素U和维生素P。
1)维生素U。即碘甲基甲硫基丁氨酸,分子式为C6H14NO2IS,存在于卷心菜、甘蓝、莴苣、苜蓿和其他绿叶蔬菜中。有特殊气味,味咸苦。光照或久置空气中都不稳定。易溶于水,不溶于乙醇和乙醚。水溶液呈酸性。
维生素U含有氮元素,但它也不是辅酶的组成部分,目前对它的了解还不充分。
维生素U最早是从卷心菜中发现的,具有预防溃疡和促使溃疡面积愈合的作用,医学上用于治疗胃溃疡和十二指肠溃疡,但医务界对此也有异议。
2)维生素P。它不是含氮的化合物,也不是辅酶的组成,更非单一的化合物,而是多种具有类似结构和活性物质的总称,从严格意义上讲,它并不属于真正的维生素。主要的维生素P类化合物包括芸香素、橙皮素、表儿茶素等,较多地存在于柑橘类水果中,所以又叫柠檬素。
它属于生物类黄酮化合物(简称类黄酮,又叫黄酮类化合物)。生物类黄酮化合物是以黄酮(2-苯基色原酮)为母核而衍生的一类黄色色素,从图5-29中可以看到其母核是两个苯环通过C环上的3个碳原子结合而成。黄酮类化合物在植物界分布很广,目前发现的黄酮类化合物已达5000多种。

图5-29 黄酮类化合物母体的结构式
维生素P的主要作用在于维持毛细血管壁的正常通透性,增强人体细胞间的黏着力,改善微细管脆性,防止小血管出血。在自然界中,维生素P常常与维生素C共存,所以一般认为,坏血病是这两种维生素共同缺乏的结果。虽然目前还没有发现单纯缺乏维生素P而导致的疾病,但是在临床上,已经在运用维生素P防治某些因为毛细血管通透性增强而引起的疾病。已知在蔬菜中,每100克茄子含维生素P高达720毫克。
10.维生素与健康
综上所述,对生命体发生显著作用的维生素是存在于生命体内的微量物质,但是维生素并不能在体内合成(除极个别外),它必须通过食物的摄入才进入体内。如果维生素摄取不足就会出现特有的维生素缺乏症,通过食物补足后症状就会得到改善。
我们还应该注意的是,维生素尽管不能缺少,但由于它起的主要是辅助性的作用,因此过量对身体并无助益,相反倒可能有毒害作用,并且已有很多专家指出,维生素也是有助于癌组织的生长的。
2004年,欧洲科学家在权威医学杂志《柳叶刀》上撰文指出,补充维生素制剂不仅无法预防胃肠道癌症,相反地,长期服用维生素制剂的人士患癌症的风险反而升高。研究人员共做了14项大型临床试验,参加的有17万人,在对临床试验作出分析后得出结论:14项研究中有半数显示,长期服用维生素制剂,有可能增加食道、肝、胃、胰腺、结直肠癌的风险,增幅平均为6%。这在全世界引起了震动和激烈的争论。
这样的争论在医学界已发生过多次。虽然至今仍无定论,但不管怎么样,大量服用维生素片是要中毒的,这是人所皆知的事实。
目前市场上已出现很多宣传能防治慢性疾病和老化的维生素制剂,广告中也经常宣传维生素C及一些复合维生素是包治百病的药。可我们的身体需要的应是均衡、适量的维生素,因此不能只重视某个种类的维生素,也不能过量服用。同时要知道,维生素制剂具有两面性,如果补充得好就是药,吃得不好就是毒。美国有2000多种维生素产品,是地球上的“维生素王国”,美国人中有40%服用维生素,由于宣传的误导,经常能发现食用维生素量超过建议量的现象。这种过量服用维生素和滥用维生素片剂的情况,在我国也逐渐普遍,其原因是许多人深信多服维生素可以带来健康,误认为维生素片剂是营养品,但是这种想法是错误的。其实除非有特别的需要,平时我们只要依靠正常、合理的饮食就足以补充必需维生素的需要。
2006年5月,美国国家卫生研究院组织的一个健康专家委员会认为,没有研究能够充分证明,人们可以通过服用含有多种维生素和微量元素的保健类补剂促进自身健康。专家指出,由于不少食物富含维生素和微量元素,因此保健类补剂的价值值得怀疑。另外,也没有研究能够表明,人们可以通过服用含有维生素和微量元素的保健类补剂预防癌症和心脏病等慢性疾病。
这便清楚地告诉了我们,对于许多有关维生素的“神话”,我们是不应该深信不疑的。