1
生命中的化学元素
1.7.4.1 5-4-1 蛋白质的结构
5-4-1 蛋白质的结构

简单地说,蛋白质的结构可分为四类:蛋白质多肽的线形分子称为一级结构;螺旋状的分子称为二级结构;球形的称为三级结构;更复杂的折叠、卷曲、堆积就称为四级结构。

蛋白质的一级结构是蛋白质分子里的氨基酸的顺序决定的(见图5-12),这些氨基酸是由肽键的共价键连接起来的。

图5-12 胰岛素(部分)A链的一级结构

改变氨基酸的顺序就会产生一种新的蛋白质。例如血红蛋白分子是由1分子球蛋白和4分子亚铁血红素组成的结合蛋白,其中球蛋白是由四条肽链(两条α、两条β)构成,每条肽链上都结合一个含Fe2+的血红素。如果β球蛋白链上第6位的谷氨酸被缬氨酸替代,就会形成一种变态的血红蛋白分子,由于亲水的极性谷氨酸变成了疏水非极性的缬氨酸,使得蛋白质分子溶解度下降。在氧分压低的毛细血管中,溶解度变低便易聚合成凝胶化的棒状结构,使红细胞发生扭曲了的镰变(红血球形状发生突变,由平滑的圆圈形状改变为新月形或半月形),导致其变形能力降低。当它们通过狭窄的毛细血管时,易挤压破裂,引起溶血性贫血,即镰形细胞贫血症。另外,镰变细胞使血液黏度增加,阻塞微循环,致使组织局部缺血缺氧,甚至坏死,产生剧痛。这是一种遗传病,病人的血红蛋白在低氧情况下,便会由于上述原因聚集在一起最终沉淀下来,失去了运输氧气的能力。如果不能产生足够的新的红细胞,在短时间内就会出现严重的急性贫血症,严重情况下可能有生命危险。这种病人通常不能去高原,坐飞机都有一定的危险。

蛋白质的二级结构通常是指蛋白质多肽链主链在空间中的走向,一般以氢键来维持主链形成有规律的构象,它有α-螺旋结构和β-折叠结构两种。

三级结构就是指在二级结构基础上进一步盘曲或折叠,形成所有原子(包括主、侧链在内)的相互作用所构成的空间构象,如图5-13所示。生物体重要的生命活动都与蛋白质的三级结构直接相关并且对三级结构有着严格要求。

图5-13 蛋白质的三级结构

肌红蛋白是哺乳动物肌肉中储氧的蛋白质,尤其在心肌中其含量特别丰富。在潜水哺乳类如鲸、海豹和海豚的肌肉中肌红蛋白含量也特别丰富,以致它们的肌肉呈棕色。由于肌红蛋白储氧丰富,使这些动物能长时间潜在水下。肌红蛋白在功能和结构上和血红蛋白极为相近。它由一条多肽链构成,有153个氨基酸残基及一个血红素辅基,相对分子质量为17800。

20世纪50年代,英国科学家肯德鲁(John Kendrew)和佩鲁兹(Max Perutz)用X衍射对抹香鲸肌红蛋白的三级结构进行研究获得成功,这是第一个获得完整构象的蛋白质。它有8段α螺旋结构,整条肽链折叠成紧密球状分子,疏水侧链大都在分子内部,极性带电荷的则在分子表面,因此水溶性好。1962年Kendrew和Perutz由于测定了肌红蛋白及血红蛋白的高级结构而获得了诺贝尔化学奖。

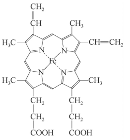
肌红蛋白分子内部有一个口袋形空穴,在其中央的是血红素。血红素(见图5-14)是含铁的卟啉化合物,卟啉由四个吡咯环组成,铁原子位于卟啉环的中央,Fe2+有6个配位键。血红素是血红蛋白及细胞色素等的辅基,具有重要的生理功能。

图5-14 血红素的结构

具有各自三级结构的多条肽链,彼此间通过非共价键相互连接而成的蛋白质聚合体结构就称为四级结构,也就是两个或两个以上独立三级结构的多肽链(各个亚基)通过次级键(疏水键、氢键、盐键)的结合而形成的空间结构。

并不是所有的蛋白质分子都具有四级结构,有些蛋白质分子只有一级、二级、三级结构,并无四级结构,如肌红蛋白、细胞色素C、核糖核酸酶、溶菌酶等。构成四级结构的亚基,虽然是具有二级、三级结构的,但亚基单独存在时,一般来说是没有生物活力的,只有完整的四级结构才有生物活力。

多条肽链的盘曲或折叠的空间结构对蛋白质的活性有着极其重要的意义。例如,胰岛素是由两个肽链A,B组成的,共有51个氨基酸残基。两个肽链由两个硫键联系在一起。如果把两条肽链拆开,或拼成A-A链或B-B链,都没有活性。如果把两条肽链上的氨基酸残基作一些修改,换上别的氨基酸,则发现有一部分氨基酸对生物活性至关紧要,而另一部分氨基酸对活性无多大作用。化学家面对着蛋白质和多肽一级结构的平面图,看到这些重要的氨基酸杂乱地分布在肽链各处,毫无规律可循,感到迷惑不解,直到晶体物理学家用X射线衍射方法探明了胰岛素的空间结构之后,这些问题才真相大白。原来,由于肽链的卷曲、折叠、盘绕,那些分散的重要氨基酸,在空间结构图上却有规律地集中在一定的区域,这些区域对激素信息的表现有明显的作用。

众所周知,蛋白质一旦遇热(50℃~60℃以上)很快就凝聚成了一团,失去了活性,称之为蛋白质变性。鸡蛋一煮熟就再也变不成小鸡了。绝大多数蛋白质在pH值为4~10时才能够保持稳定,超出这个pH值范围就会变性。但是,变性的蛋白质依然是蛋白质,除了主体结构变得杂乱无章外,它的化学性质并无多大变化。由此可知,蛋白质的活性是与它的主体结构密切相关的。异常的蛋白质空间结构很可能导致其生物活性的降低、丧失,甚至会导致疾病,已知疯牛病等都是由于蛋白质折叠异常引起的疾病。

蛋白质的活性与它的主体结构究竟有什么关系?至今尚不很清楚。现在一般认为:蛋白质因受某些物理的或化学的因素的影响,例如强酸、强磁、剧烈搅拌、重金属盐类、有机溶剂、超声波、紫外线以及化学反应等,分子的空间构象遭受破坏,导致其理化性质、生物学活性发生改变。蛋白质的变性其实就是从肽链的高度折叠状态转变为伸展状态,也就是二级结构以上的高级结构遭破坏而导致生物活性丧失的过程。

蛋白质变性一般是不可逆的,但有些蛋白质变性后可以在一定的实验条件下恢复原来的空间构象,使生物学活性恢复,这个过程称为蛋白质的复性。变性蛋白能否复性,与导致变性的因素、蛋白质本身的种类以及蛋白质分子结构改变的程度都有关系。例如,胰蛋白酶在酸性条件下短时间加热可使其变性,但缓慢地冷却,又可以复性。血红蛋白在酸性条件下易变性,但如果用碱缓慢中和,也可使其活性部分恢复。

利用酒精能使细菌蛋白质变性,我们可以用它来杀死细菌,这是因为酒精能与水形成氢键,它可以影响到细菌蛋白质的氢键,使蛋白质脱水变性。浓度高的酒精会迅速使细菌体表面蛋白质变性,以至阻碍了酒精继续进入菌体内部发挥作用,细菌反而不会死亡;而70%~75%的酒精却能慢慢渗入细菌内部,最后就能杀死细菌。

重金属盐对人是有毒的,这也是因为重金属离子能与蛋白质的巯基结合,破坏了蛋白质的二硫键,使蛋白质变性。如是与酶的巯基结合,抑制了酶的活动,就会引起严重的中毒。一旦发生重金属中毒,可以服用大量牛奶、蛋清、豆浆等高蛋白物质来减少重金属盐对人体蛋白质的伤害,严重的中毒可以用二巯基丙醇来解毒,其原理同样是二巯基丙醇中的巯基能与金属离子结合形成稳定的环状化合物,因此可以解除重金属离子对酶系统的破坏。

强烈的紫外线照射也会使蛋白质变性。人眼的晶状体主要由蛋白质构成,由于没有血管,不能通过血液来进行新陈代谢。如果经常受紫外线照射,特别是老年人,就会引起蛋白质变性,其弹性和透明性下降,从而导致白内障。