1
生命中的化学元素
1.6.2.1 4-2-1 光合作用
4-2-1 光合作用

自然界里的糖来源于植物的光合作用:

光合作用可以说是荷兰科学家在1779年发现的。荷兰人英格豪茨(Jan Ingen-housz)指出,密闭环境中的绿色植物只有在“日光”下才能“净化”空气,实验动物才不致在其中窒息死亡。光合作用这一发现距今已有200多年历史,但至今人类对光合作用的许多细节尚未了然。

现在已知光合作用可分为两个阶段,即光反应阶段与暗反应阶段。

在光反应阶段,细胞中的叶绿体利用光能把水分解为氢和氧。每两个氧原子互相结合而成氧分子,释放到空气中。分解出的氢有一半与细胞中的辅酶Ⅱ(NADP)结合,形成还原型的辅酶Ⅱ(NADPH),同时又使得细胞中低能量的二磷酸腺苷(ADP)变成了高能量的三磷酸腺苷(ATP)(ADP和ATP可参见第五章)。这样,就将光能转变成ATP的化学能了。光反应过程可用下面的化学方程式来表示:

光合作用的第二阶段为暗反应阶段。该反应过程不需要光,但在光照下也照样进行。在该阶段,高能的ATP转而为反应提供能量,又分解为ADP。在光反应中形成的剩下一半的氢离子在暗反应阶段中又去还原二氧化碳,使它变成了葡萄糖:

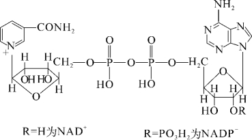
辅酶Ⅱ(NADP)的全名叫烟酰胺腺嘌呤二核苷酸磷酸(见图4-2),是叶绿体中重要的一种辅酶,很容易与氢结合而被还原,在需要氢的反应中又很容易与氢分离,因此它可以传递质子、电子及能量。

图4-2 辅酶Ⅱ(NADP)的结构式

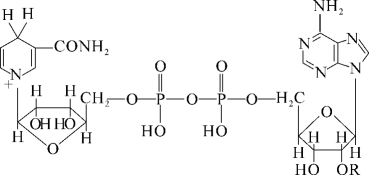
在光反应中被还原的NADPH(见图4-3)再与剩余的氢离子一起参加随后的暗反应,最终就将光能转变成化学能,即生成了糖类化合物。

图4-3 NADPH的结构式

从原理上看,光合作用真是太神奇了,植物利用太阳能分解了水放出了氧气和氢,氢和能量又通过辅酶Ⅱ的传递交给了二氧化碳并生成了葡萄糖。最终碳元素和太阳能都得到了固定。想一想吧,我们的地球如今正遭受着人为的二氧化碳泛滥的威胁,可是我们却无法效仿大自然来有效地固定它。