5-8 氮元素在人体中的代谢与平衡
氮元素在生命中的循环的第一步就是大气中的氮要进入到土壤和植物中,这主要有以下几种方法:①人工固氮,人类通过工业手段,将大气中的氮合成氨或铵盐,即合成氮肥,供植物利用;②非生物固氮,如雷雨天的闪电产生电离作用,能将大气中的氮氧化成硝酸盐,随降雨过程进入土壤,还有火山喷发出的岩浆所固定的氮也进入土壤,植物就能吸收这些进入土壤中的氮;③植物固氮,寄生的豆科植物和其他少数高等植物根部的根瘤固氮菌具有固定大气中氮的能力。
氮元素进入人体的主要途径即是人体从植物中摄取植物性蛋白,从动物食品中摄取动物蛋白,作为自身的营养来源。
我们所摄取的大多数氮元素来源于我们所吃的植物和动物蛋白。与碳素相类似,所吸收的氮元素也有同位素的差异,不仅有氮-14,也有氮-15。天然氮中,氮-15的含量大致为0.37%。同位素分析指出人类氮同位素来源的主要差异在于饮食。所有动物性蛋白质来自相同的来源(肉、蛋、奶),就有类似的同位素数值。氮-15能反映人类食物组成中蛋白质的摄入程度。通常食肉较多的人与仅是依靠植物类食物生存的人相比,其体内氮-15比值明显偏高,而食鱼较多的人,体内氮-15的比值会更高。一般食物链越长,其氮-15比值就越高,它反映了营养级的高低。因此,可以说氮-15是肉类蛋白在人体内留下的标记。吃肉越多,骨骼内的氮-15比值就会越高。经常食用蛋白质者往往有较高的氮-15(8.6‰),那些每天或经常性食用肉类或乳制品的人会有高达9.2‰的氮-15同位素。由于人类不同种族的饮食习惯有着明显的不同,因此科学家可对头发进行氮同位素分析并用来判断其所属种族的不同。
对人体而言,我们确实需要很多的蛋白质和氨基酸,可是与吸收糖类化合物和脂类物不同的是,人体内却没有氨基酸的储存形式,这是人体中氮元素存在的特殊之处。人体内仅是有着一个不断变化的氨基酸库(见图5-74),组织蛋白不断地分解和重新合成。在肝和血液中,氨基酸的变换是相当迅速的——每6天就能换掉一半,这种变换在肌肉和支撑性组织里要缓慢得多——肌肉里每180天才能被换掉一半氨基酸,在支撑性组织里的胶原每1000天才能被换掉一半。
健康的成年人体内保持着氮的平衡,排出的氮与通过食物吸收的氮一样多。快速成长的少年儿童处于氮的正平衡状态,他们排出的氮就没有吸收的氮多,因为他们需要氨基酸合成新的组织。氮的负平衡就是排出的氮要比吸收的氮多,常由饥饿、营养不良、消耗病和发烧引起。有人以6名19~23岁的学生作长期代谢试验,按每千克体重给0.59克卵蛋白,结果成负氮平衡。因此,1973年WHO(世界卫生组织)提出:为安全起见,每日每千克体重以1克蛋白质为标准需要量。乳儿的标准为每日每千克体重需2.25~5克蛋白质。过少会产生浮肿;过多可引起血清尿素浓度升高以及体温升高。幼儿及儿童通常也需每千克体重1~3.5克蛋白质,才可以保证儿童生长良好,对疾病有较好的抵抗力。

图5-74 氨基酸代谢库

图5-75 氮代谢的途径
人体吸收的蛋白质在体内首先是水解生成氨基酸,氨基酸在体内的代谢主要包括两个方面(见图5-75):一方面,主要用以合成机体自身所需要的组织蛋白质、多肽及其他含氮物质,这其中,有些氨基酸还可以通过特殊代谢途径转变成嘌呤、嘧啶、卟啉、某些激素、生物碱等,并且体内某些氨基酸在代谢过程中还可以相互转变;另一方面,氨基酸又通过脱氨作用、转氨作用或脱羧作用,进一步分解成α-酮酸、胺类及二氧化碳。α-酮酸可以转变成糖、脂类或再合成某些非必需氨基酸,也可以经过三羧酸循环氧化成二氧化碳和水,并放出能量。最终分解代谢过程中生成的氨,在不同动物体内以氨、尿素或尿酸等形式排出体外(见图5-76)。对于水生、海洋动物来说,是以氨的形式排出;对于鸟类、爬虫类,是以尿酸形式排出;而排尿动物则以尿素形式排出。

图5-76 尿素和尿酸
氨对活的组织毒性很大。水生动物能够迅速地将氨排除到周围的水里,但陆生动物却必须把这种氨转化为毒性较小的物质再通过身体输送。其中尿素能够积存在血液里而没有害处,并可以由肾加以去除。当人体肝功能严重损伤时,尿素合成障碍,血氨浓度升高,称为高血氨症。尿素合成酶的遗传性缺陷也可导致高血氨症。值得一提的是,人如长期处于饥饿状态下,一下子大量摄入蛋白质,由此分解产生的氨如没能正常转化为尿素,将有可能进入血液并进入脑组织,结果就会导致中毒死亡。二次大战结束时,集中营中有许多人就是因为一下子吃入较多肉类而乐极生悲的。
在蛋白质的代谢中,未被吸收的氨基酸、小肽及未被消化的蛋白质,在大肠下部受大肠杆菌的作用,发生一些化学变化过程,称为腐败。腐败作用中主要的化学反应有:①脱羧基生成胺;②还原脱氨及生成其他有毒物质,肠道中的氨就是这样产生的。除上述腐败作用外,氨的产生尚有另一个来源,即血液中的尿素约有25%可渗透进入肠道,受大肠杆菌的尿素酶的作用水解生成氨,被重吸收进入体内,再到达肝脏合成尿素,这就是尿素的肠肝循环。平均每天约有7克尿素渗入肠道,而粪便中几乎不含尿素,这是由于渗入肠道的尿素全部被大肠杆菌分解成氨而吸收,这部分氨的量约为4克。自肠道吸收入体内的氨,是体内血氨的重要来源之一。正常人可将氨在肝脏合成尿素后排出,食用普通膳食的正常人每天排尿素约20克。严重肝脏疾病患者因其处理血氨的能力下降,常可引起肝昏迷,给以肠道抑菌药物可以减少肠道中氨的产生。
在食品腐败时,有着两个氨基的二元氨基酸脱羧后生成的二元胺(二胺),对人的毒性很大。例如肉类的蛋白质腐败时,在细菌脱羧酶的作用下产生的尸胺、腐胺、组胺、酪胺对人体就有很大的毒性,易发生食物中毒。腐败作用产生的有毒物质除了有胺类和氨以外,还包括苯酚、吲哚、甲烷、CO2、有机酸和硫化氢等,这些物质大部分随粪便排出,小部分可被肠道吸收,进入肝脏处理。还有一部分如氨可转为气体排出。俄罗斯研究人员就指出,人呼出的气体中有氨气味就表示病人胃肠道功能不良,一氧化氮含量增加就表示病人患的是支气管炎或哮喘。
在人体中,食品中的核酸的成分——嘌呤化合物以及人体内源性产生的嘌呤化合物经分解代谢后可产生尿酸,如尿酸合成过多或不能从肾脏及时排除,都可使血中尿酸浓度升高导致高尿酸血症,会影响到尿液和血液的酸碱性。在一般情况下,尿酸可完全由尿排出,不在身体某些关节处积留,但对个别嘌呤代谢障碍的人,尿酸容易累积,因其溶解度较小,体内过多时可形成尿路结石,还由于尿酸在软组织如关节膜或肌腱里形成针状结晶,会导致身体免疫系统过度反应(敏感)而造成痛风。急性痛风发作部位会出现红、肿、热、剧烈疼痛等症状。因此,吃了富含嘌呤的食品,应注意多喝开水,使尿酸从尿液中及时排出。
近年来的研究表明,尿酸也并不是对人体完全无益有害的,事实是人们长期以来对尿酸有着不公平的看法。其实尿酸在人体内有着重要生理功能,它虽能致病,但在防病上也起着重要作用。一个非常有意义的发现是,尿酸具有消除体内活性氧的作用,能防止细胞膜脂质过氧化,是一个重要的生物抗氧化剂。血中存在的白蛋白、维生素C、维生素E以及谷胱甘肽等非酶性抗氧化物质的总抗氧化作用也与尿酸有关。同时当体内维生素不足时,尿酸可替代它进行抗氧化作用。由于存在于人体内的尿酸具有抗氧化、防细胞突变作用,因此有人认为尿酸可抑制机体癌细胞的发生,血中尿酸值偏低可能成为癌症发生的原因。尿酸在体内还可能是一种神经兴奋剂,因为它的结构与咖啡因及其他神经兴奋剂很类似。这也说明了嘌呤代谢的过程只要合适则有利,过则有弊。同样,尿酸过高就会带来疾病。

图5-77 灵长类动物血浆中尿酸水平和基础代谢率之比与寿限的相关性
科学家的研究还发现尿酸对物种寿限的长短起着重要作用。通过测量几种灵长类动物血浆中尿酸含量和物种的基础代谢率(SMR)的比,发现这个比值与寿限有很好的相关性(见图5-77)。其原因也许是血液中尿酸的含量与营养水平有关。
人体中的蛋白质、核酸等氮元素的代谢除了产生排泄物以外,还会在体内产生废气。大肠内的食物残渣在细菌作用下分解时生成的气体包括氨气、硫化氢、吲哚、甲基吲哚、挥发性脂肪酸等带有恶臭的气体物质,从肛门中排出。由氮元素代谢产生的恶臭气体其实仅占其中的1%;其余的约70%的成分是吃饭时随食物一起吸入的空气,有着氮气和氧气;剩下的约有20%是血液中所含的气体通过肠壁进入肠中;还有约10%是食物残渣在细菌的作用下分解时生成的氢气、甲烷;还有二氧化碳等气体,以上5类气体要占胃肠道内气体总量的99%。现代医学科学证明:肝脏越老化,它驱除体内多余的氮气的能力就越低。一个少年在15分钟里便可驱走体内多余的氮气,若高于这个时限,则其肝脏有些不正常。60岁的老人,要驱走体内多余的氮气,需要6小时,如低于这个时限,则表示他的肝脏还“年轻”。未从肛门排出的废气会通过肠黏膜进入血液经肝脏进入尿中,还有一部分由肺呼吸排出。体内积存的含氮废气,如氨气和吲哚等有害气体,除了直接影响大肠外,还会被大肠壁吸收,对身体产生不良影响。在有害菌的作用下还会生成亚硝胺和苯酚等致癌物质,以及强化这些致癌物质的粪臭素的气体,这些物质持续地刺激大肠,使大肠癌的发病率升高。在肝脏功能衰弱时,若废气中氨含量太多,会使肝脏无法负荷,结果经血液流入大脑造成人的意识昏迷。肠内积存的废气有时还会压迫血管,造成血液循环不良,引起手足冰凉。因此,为了消除体内有害气体的影响,应该改善饮食习惯,尽量不要多吃动物性蛋白质和脂肪,而要多食根菜类、薯类、豆类、海藻类等富含膳食纤维的食物。例如,红薯可以促进排气,因为它含有大量的食物纤维素,可刺激肠蠕动,使废气和大便一起排出。富含乳酸菌的食物(如酸奶、酱油等)也能防止有害气体的生成。
生命体中氮元素的吸收和代谢是并不全取之于蛋白质,还来自食品中的其他含氮化合物,但另一方面,我们还要注意到,食品中的含氮化合物,除了氨基酸外,大多数是对人体有着一定危险性的。在植物中,一些红色的果实在成熟时就会大大增加硝酸盐的含量。虽然硝酸盐本身无毒,但在食品中积累的硝酸盐会在人体内细菌的作用下,还原成有毒的亚硝酸盐。亚硝酸盐能够把血液中携带氧气的低铁血红蛋白氧化成高铁血红蛋白,使血液失去携带氧气的功能,因而会出现一系列缺氧的中毒症状,主要是嘴唇、指甲、全身皮肤青紫,呼吸急促,心跳加快,恶心,严重的会因呼吸衰竭而危及生命。所以,吃过量腌制肉类制品也有危险,因为腌制肉类加添了防腐剂和着色剂,含有较多的硝酸盐和亚硝酸盐。美国科罗拉多保健科学中心的研究人员早在1996年就指出,硝酸盐可诱发糖尿病,原因是亚硝胺在体内积累达到中毒量后,会伤害在胰脏生成胰岛素的细胞,由此诱发胰岛素依赖型糖尿病。日本肾脏病学专家藤田教授还发现高浓度硝酸盐可损害肾脏,产生血尿。更严重的是,如果亚硝酸盐与食品中的胺类化合物(也是一种含氮化合物)发生反应会产生亚硝胺,而亚硝胺是公认的致癌物质。
常量元素中,唯有含氮元素的一些化合物是具有致癌性的。
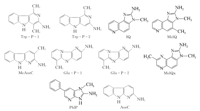
不仅仅是亚硝胺,食物中蛋白质成分在高热情况下还会形成对人体有害的低分子有机化合物,例如杂环胺(HCAs),它具有强烈的致突变作用,在多种动物的不同组织或器官可以诱发肿瘤。迄今为止,已发现的HCAs有19种,其中对动物致癌的有10种,如图5-78所示。

图5-78 对动物致癌的杂环胺
食物中蛋白质或某些氨基酸成分在温度非常高的情况下,可以合成HCAs。研究发现,食物在160℃以下温度烹调时,HCAs不能检出或极少,但随着温度的升高,HCAs含量逐渐增加,如碎牛肉在250℃煎炸时HCAs的含量为200℃时的6至7倍。不过,HCAs对人的致癌性尚没有明确的结论,仅是怀疑它可能和人乳腺癌、胃癌、结肠癌和前列腺癌的发病有一定关系。
以上简要叙述了生命体中氮元素代谢过程,其实在氮代谢的途径中,还有着许多秘密未揭开,尤其是反应的能量、酶系统反应的细节,都是科学家亟待解开的谜。
要强调的是生命体中氮元素代谢的平衡是需要在碳元素及其他各类营养素相互配合下对人体发挥生理功能的。它们之间在体内不是独立存在而是密切联系的,既相互配合,又相互制约,如果由于氮元素过多吸收而造成营养失衡,人体的新陈代谢也将失去平衡,就会引发各种疾病。糖、脂肪和蛋白质三大营养素之间相互的关系表现最突出的就是糖和脂肪对蛋白质的调节作用。糖、脂肪和蛋白质都可以生热,但糖以生热为主,脂肪兼有供给脂肪酸和能量储备的作用,蛋白质主要供给氮,可以合成机体组织。蛋白质、脂肪、糖类在体内氧化都可以产生热量,而且三者在代谢过程中可以相互转化,氨基酸经脱氨基作用,其中不含氮部分可合成糖类和脂类,葡萄糖亦可转变成脂类。从图5-79可知,由蛋白质消化而产生的氨基酸,可以转化为乙酰辅酶A以及柠檬酸循环中的一些中间酸。由脂肪消化而产生的脂肪酸,可以转化为乙酰辅酶A。脂肪消化的其他产物(甘油),可转化为PGAL(2-磷酸甘油醛)和PGA(磷酸甘油酸),再成为丙酮酸。乳酸可以被肝脏转回为葡萄糖。

图5-79 糖、蛋白质、脂肪分子的共同代谢途径
三大营养素的功能各异,因此,产热营养素不能完全互相代替。能量平衡不仅取决于产热营养素的需要量与供给量的动态平衡,而且与产热营养素之间的比例相关。糖类过多、脂肪太少的膳食会增加B族维生素的消耗,影响脂溶性维生素的吸收;脂肪含量过多、糖类供给不足则易患心脏病、结肠癌等疾病;蛋白质摄入过少会影响生长发育及正常生理活动,过多则会增加肝、肾的代谢负担。因此,三大营养素需有一个适宜的比例关系,才能让各营养素最大限度发挥其生理作用,维持机体的能量平衡。如果糖类、脂肪摄入不足,而大量摄入蛋白质,则机体只会白白地用蛋白质去产生能量,反而增加了肝脏和肾脏的负担,这就完全得不偿失。
随着社会的发展和生活质量的改善,好多人都将营养补品作为自己营养的来源,例如蛋白粉、氨基酸口服液和复合氨基酸胶囊液等,其中有些已是医疗中最常见的药物。
美国FDA曾经召集过来自一所著名科研机构的科学家组成一个专家小组来审查氨基酸补品的安全性问题。这些科学家竟几乎没有找到关于补品的任何实验证据确凿的研究文献,然而他们却发现了氨基酸补品对健康的副作用,警告说任何氨基酸作为食物补品都是不合适的。原因有两点:第一,某些氨基酸(丝氨酸和脯氨酸)容易引起中毒;第二,任何氨基酸补品由于其非平衡的高浓度而在人体内并没有实际的营养功能。科学家指出,其实人体在进化的过程中并没有经历过依赖补品这一类食品来取得营养的阶段,因此也根本缺乏相应的处理这样非平衡的高浓度氨基酸的能力。补品给我们的某种氨基酸的过量可能会使得另一种相似的氨基酸暂时无法被吸收,因此当某种或某几种氨基酸过量时,其他一些人体所需的氨基酸就无法被吸收而浪费掉,结果就会造成这种营养的缺乏。
在服用补品方面,值得一提的是我国还曾刮起过一股骗人的核酸营养品的旋风。早在1981年就已在美国被认定是骗局的核酸营养品,想不到在中国却又重演了二三十年前的旧骗局,而且各大媒体都加入了宣传核酸营养品的行列。核酸营养品的鼓吹者声称:“核酸是人体细胞中的关键物质,补充外源核酸,就能延年益寿,乃至长寿不老”。揭露这一骗局的专家们抨击说:如果外源核酸真的能够进入细胞被人体利用,那才真的糟糕。它们不仅会引发过敏反应,而且外来核酸如果作为遗传物质被结合进细胞遗传机制中,将会导致遗传信息传递、表达的混乱,人就会生病乃至有生命危险。病毒就是将外源核酸注入人体细胞中而危害人体健康的。幸运的是,外源核酸是不可能被人体直接利用的。食物中的核酸在肠道中先是被核酸酶切割成寡核苷酸,又被磷酸二酯酶进一步水解成单核苷酸。进而,核苷酸被核苷酸酶水解成核苷,才被吸收进细胞中。用于合成核苷酸的碱基和磷酸核糖,除了从食物中吸收外,还有一部分来自细胞中原有的核酸水解后重新利用。外源的嘌呤碱基很少被吸收,如果吸收了,大部分也被降解为尿酸排出。如果血液中尿酸过多,不仅会引起痛风,也可能产生肾结石或对肾脏造成伤害。心血管疾病的发生率也随着血中尿酸的增高而增高。
实际上,核酸存在于几乎所有食物中,不用担心食用的核酸不够量。即使食物中核酸过少,也不用担心这会影响到体内核酸的合成,因为核苷酸还有另外一条所谓“从头合成”的产生途径,不是直接利用碱基,而是将磷酸核糖焦磷酸转化成嘌呤核苷酸,和将氨甲酰磷酸转化成嘧啶核苷酸。因此,碱基(嘌呤、嘧啶)以及产生它们的核酸、核苷酸、核苷都不被视为必需营养物。
过多地追求富营养,其实并不是健康的生活方式,一个人的饮食是应该注意饮食有度的。因此,对于市场上的蛋白粉营养品,60岁以上的高血压患者、肾功能未发育完全的儿童或肾衰竭的病人应慎用。蛋白质粉只适合儿童、孕妇、老年人、营养不良者、低蛋白血症和贫血症患者等需要补充蛋白质的人群适量食用。健康的成年人完全没有必要用蛋白质粉来补充蛋白质。那些对补充蛋白质有需求的人群,也不能长期大量食用,以免造成负面效应。肝肾不好的人和痛风病患者则不太适合吃蛋白粉。而且各种生物的蛋白质都有自己独特的氨基酸序列排列方式,所以不能把其他生物的蛋白质原封不动地加以利用。外来的蛋白质如不经修饰就进入体内,机体就会产生针对它的抗体,引起免疫上的许多问题。
在我国,随着生活水平的提高,营养补品之风越刮越猛,很多人并不真正知道我们的身体确实需要些什么。有意思的是,美国科研人员却发现,低蛋白饮食人群血液中与癌症有关的激素含量较低,这意味着可能会降低患癌症的风险。
对于人体到底需要多少蛋白质这个问题,我们其实还可以简单地从人体需要氮元素的量化上来加以思考:假定一位体重70千克的男士在40岁后已不再需要继续增加体重,那么他从呱呱坠地(4千克)到40岁(70千克),这期间以15000天计,总共要增重66000克,平均每天4.4克。已知人体的蛋白质约占人体全部重量的18%,也就是说每天需要净增加蛋白质约0.8克,居然1克也不到!请问我们还有什么必要去暴饮暴食(特别是蛋白质)呢?我们又何必去服用氨基酸、蛋白粉而大补特补呢?如果我们每天摄入70克蛋白质,你是否考虑过:如何才能使得这氮元素的“进出口”保持总的平衡而仅仅只能是略有节余(平均每天仅需节余0.8克)呢?
生命体里的氮的循环正如碳的循环一样,始终要保持着一定的动态平衡。如果是入大于出,生命体又是处在生长发育期,那自然就会蓬勃生长;如果是入远远大于出,那势必会加重体内各器官的负担,损伤机体,久而久之就会让生命早日走到尽头;反之,如果是在平衡期间入不敷出,那就会缺乏营养,逐渐病、老,油尽灯灭,这就是不可抗拒的新陈代谢的规律。营养问题,其实就是如何保证碳、氮等生命元素在生命体中的正常代谢和平衡的问题,生命繁衍之谜既是隐藏在这其中,也是早就大白于天下了,只可惜许多人并不明白。