1
电工基础
1.9.3.2 二、交流电动机
交流电动机

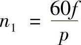
1)三相异步电动机由定子和转子两部分构成。定子是电动机的静止部分,转子是电动机的转动部分。当三相交流电通入定子绕组时,产生一个旋转磁场。旋转磁场的转速n1(同步转速)与电流的变化是同步的,其大小与电源频率f成正比,与磁极对数p成反比,即

978-7-111-49354-9-Chapter07-50.jpg

旋转磁场的旋转方向取决于流入定子绕组电流的相序。

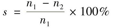
2)三相异步电动机转子的转速n2总是与同步转速n1保持一定的转速差,转速差与同步转速之比,就是异步电动机的转差率。转差率是电动机的一个重要参数,其公式为

978-7-111-49354-9-Chapter07-51.jpg

3)为避免电动机过大的起动电流造成电网电压的波动和降低电动机的寿命,大型电动机要采用降压起动的方法起动。电动机的调速方法有变频调速、变转差率调速和变极调速。常用的电力制动方法是反接制动和能耗制动。