1
电工基础
1.9.3.1 一、变压器
变压器

1)变压器具有变换电压、变换电流、变换阻抗和改变相位等功能。

2)变压器是按电磁感应原理工作的,由铁心和线圈两部分构成。常用变压器有自耦变压器、多绕组变压器和三相变压器等。

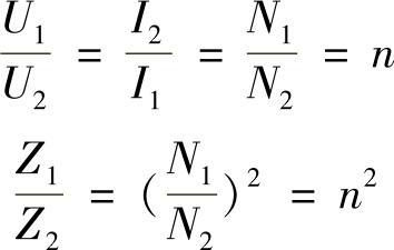
3)对于理想变压器,即忽略了变压器的功率损耗,电压、电流、阻抗之间满足下列关系

978-7-111-49354-9-Chapter07-48.jpg

4)变压器的功率损耗包括铜损和铁损两个部分。铜损是由于一次绕组、二次绕组上的电阻所消耗的功率;铁损是由于一次绕组、二次绕组上的交变磁通而引起的磁滞损耗和涡流损耗所消耗的功率。变压器所损耗的功率等于输入功率与输出功率之差,即

ΔP=PCu+PFe=P1-P2

输出功率P2与输入功率P1的比值,就是变压器的效率,公式为

978-7-111-49354-9-Chapter07-49.jpg

5)变压器的额定值主要包括额定电压、额定电流、额定容量等。变压器绕组必须有良好的绝缘。