1
电工基础
1.7.12.2 二、提高功率因数的方法
提高功率因数的方法

无功功率反映的是感性负载、容性负载与电源间交换能量的规模大小,有些设备需要无功功率才能工作,如变压器、电动机;但许多设备不需要或只需要一点点无功功率。因此,为了使发电机的容量得到充分的利用,从经济观点出发,必须减小无功功率,提高功率因数。下面介绍两种常用的提高功率因数的方法,第二种方法尤为常见。

1.提高用电设备本身的功率因数

要提高功率因数,必须减小无功功率。设备轻载时功率因数低,满负荷时功率因数高,所以选用变压器、电动机等设备的容量要适当,不宜过大,这样可以减少轻载运行现象。

2.在感性负载上并联电容器

在感性负载上并联电容器,即用一个适当容量的电容器与感性负载并联,如图5-69所示。并联电容器后,电感中的磁场能量与电容器的电场能量进行交换,从而减少了电源与负载间能量的互换,即减小了无功功率,提高了功率因数,是一种简单而有效的方法。

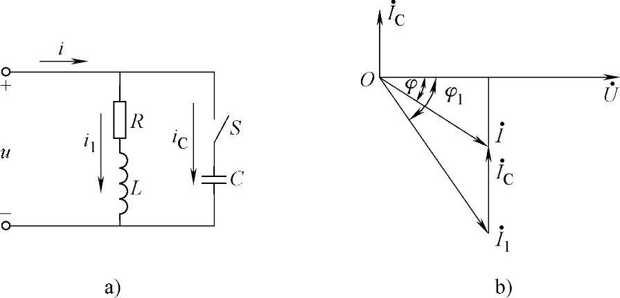
978-7-111-49354-9-Chapter05-279.jpg

图5-69 并联电容提高感性负载电路的功率因数

图5-69a所示的电路实际上就是上一节中讨论的实际线圈与电容并联电路,借助图5-69b所示的相量图的分析容易证明:对于额定电压为U、额定功率为P、工作频率为f的感性负载来说,将电路的功率因数从λ1=cosφ1提高到λ=cosφ,所需要并联的电容为

978-7-111-49354-9-Chapter05-280.jpg

并联电容以前,感性负载RL上的阻抗角,即总电压与电流的相位差φ1

978-7-111-49354-9-Chapter05-281.jpg

并联电容以后,RL支路上的阻抗角不变,但总电压与总电流的相位差发生了改变,即此时总电压与总电流的相位差φ

978-7-111-49354-9-Chapter05-282.jpg

RL支路上的电流I1,即并联电容前线路的电流为

978-7-111-49354-9-Chapter05-283.jpg

并联电容后线路的电流为

978-7-111-49354-9-Chapter05-284.jpg

由上述分析,得到下列几点重要的结论。

1)感性负载并联电容后线路的阻抗角减小,即线路的功率因数得到了提高。

2)感性负载并联电容后线路的总电流减小,即线路的功率损失减小。

3)感性负载并联电容后RL支路上有功功率不变,即感性负载的工作状态不受影响,这是因为电容器不消耗电能的缘故。

日光灯电路是典型的RL串联电路,实际工作中常采用在日光灯管与镇流器两端并联一只适当容量的电容器的方法来提高日光灯线路的功率因数,如图5-70所示。

978-7-111-49354-9-Chapter05-285.jpg

图5-70 并联电容提高日光灯线路的功率因数

实训与思考17

◆按图5-71所示接好实验电路,观察并联电容前后,日光灯管的工作状态是否受影响?为什么?

◆为计算并联电容前后的视在功率、有功功率和功率因数的值,至少需要测量哪些值?应该怎样正确测量?

978-7-111-49354-9-Chapter05-286.jpg

图5-71 提高日光灯线路的功率因数实验

【例5-18】已知某一单相电动机(感性负载)的额定参数是:功率P=120W,工频电压U=220V,电流I=0.91A。试求:把电路功率因数λ提高到0.9时,应使用一只多大容量的电容器C与这台电动机并联?

解:1)首先求出并联电容前负载的功率因数λ1和电路的阻抗角φ1

978-7-111-49354-9-Chapter05-287.jpg

2)把电路功率因数提高到λ2=cosφ2=0.9时,φ2=arccosλ2=25.8°,则需并联的电容为

978-7-111-49354-9-Chapter05-288.jpg