1
电工基础
1.7.9.3 三、谐振特点
谐振特点

RLC串联电路发生谐振时具有以下特点。

1)谐振时,电路的电抗为零,总阻抗最小,即

978-7-111-49354-9-Chapter05-217.jpg

此时,电路的感抗和容抗相等,它们完全互相补偿,电路呈电阻性。

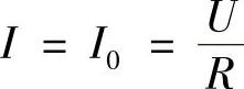
2)谐振时,在外加电压一定时,总电流最大,即

978-7-111-49354-9-Chapter05-218.jpg

此时,电路的电流与外加电压同相,电路中的电流大小仅决定于电阻的大小。电阻R越小,电流越大。

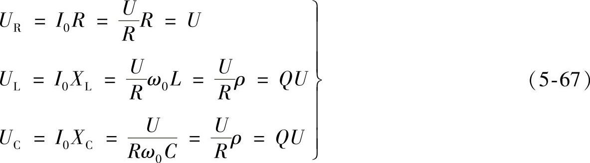
3)谐振时,电阻、电感和电容上的电压为

978-7-111-49354-9-Chapter05-219.jpg

由此可见,串联谐振时,电阻R上的电压等于电路的总电压;电感L与电容C上的电压大小相等,都是外加电源电压的Q倍。所以,串联谐振又称为电压谐振,在电感和电容上出现过电压现象。一般情况下串联谐振电路都符合Q>>1的条件,因此串联谐振时,电感或电容上的电压会很高,要注意避免高电压对电路的破坏。