1
电工基础
1.5.5.4 4.电容器中的电场能
4.电容器中的电场能

电容器在电路中的基本功能是能够充、放电。充电是电容器储存能量的过程,放电是电容器释放能量的过程,电容器是储能元件,是以电场能的形式储存电能的。电容器中电场能的计算公式为

978-7-111-49354-9-Chapter03-52.jpg

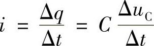
在电容器充、放电电路中,若电容器极板上所储存的电荷恒定不变,则电路中就没有电流流过;当电容器极板上所储存的电荷发生变化时,电路中就有电流流过。此时,电路中的电流为

978-7-111-49354-9-Chapter03-53.jpg