1
电工基础
1.5.5.1 1.电容器与电容
1.电容器与电容

任何两个彼此绝缘且相隔很近的导体之间都可以构成一只电容器。电容器的基本功能是储存和释放电荷,是一种容纳电荷的元件。当电容器两极板间的外加电压为U、极板上的带电量为Q时,QU的比值是一个常数C,称为电容量

978-7-111-49354-9-Chapter03-47.jpg

不同的电容器具有不同的电容量C,它决定于电容本身的性质,与电路其他情况无关。

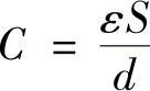
平行板电容器的电容量大小与电容器两极板正对的面积S、两极板之间的垂直距离d以及两极板之间介质的介电常数ε有关。即平行板电容器的电容量计算公式为

978-7-111-49354-9-Chapter03-48.jpg