1
电工基础
1.4.11.2 二、电池的连接
电池的连接

1.串联电池组

E=nE

r=nr

978-7-111-49354-9-Chapter02-123.jpg

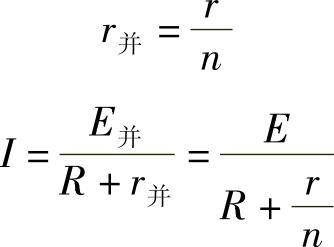
2.并联电池组

E=E

978-7-111-49354-9-Chapter02-124.jpg