1
电工基础
1.4.5.3 三、利用电位概念简化电路的画法
利用电位概念简化电路的画法

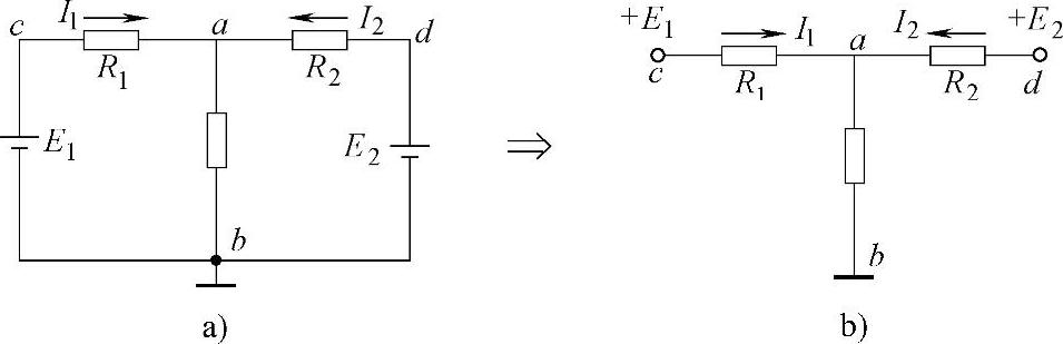
在电路中,为化简电路,一般不画出直流电源,而只标出各点电位值,使计算更为简单。如图2-33a可以简化成图2-33b,这样省略了电源,也交代清楚了各点的电位。

978-7-111-49354-9-Chapter02-71.jpg

图2-33 电路的简化画法