1
电工基础
1.4.5.2 二、计算电路中某点电位的方法和步骤
计算电路中某点电位的方法和步骤

1)确定电位参考点的位置。

2)设定电路中电流的参考方向和各元件两端电压的正、负极性。

3)从被求点开始通过一定的路径绕到电位参考点,则该点的电位等于此路径上所有电压降的代数和。

如在图2-31中,D为电位参考点,电流参考方向为逆时针,那么A点的电位为

VA=UAD=∑(±IR±E)=-E1+IR3+E2+IR2

“+、-”号的选择原则:当电流I的参考方向与路径绕行方向一致时,±RI取“+”号;反之,则取“-”号。当电动势的方向与路径绕行方向一致时,±E取“-”号;反之,则取“+”号。

978-7-111-49354-9-Chapter02-68.jpg

图2-31 电路中某点的电位

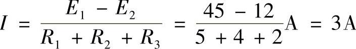
【例2-12】如图2-31所示电路,已知E1=45V,E2=12V,电源内阻忽略不计,R1=5Ω,R2=4Ω,R3=2Ω。求ABC、三点的电位VAVBVC

解:选定电路中D点为电位参考点(零电位点),设电流方向为顺时针方向,则

978-7-111-49354-9-Chapter02-69.jpg

A点电位:VA=UAD=-IR1=-3×5V-15V

B点电位:VB=UBD=E1-IR1=(45-3×5)V=30V

C点电位:VC=UCD=E2+IR2=(12+3×4)V=24V

实训与思考5

◆按图2-32所示连接电路,其中R1=300Ω,R2=200Ω,R3=100Ω,E1=10V,E2=6V。

◆将电压表的负端(黑表棒)与参考点a点相连,电压表的另一端分别与电路中的bcde各点接触,测得相对参考点a的各点电位VbVcVdVe

◆测abbccddeea两端间的电压。

◆改变参考点重复上述测量。

◆观察实验数据,你发现了什么?

978-7-111-49354-9-Chapter02-70.jpg

图2-32 电位测量实验