1
电工基础
1.3.6.4 四、用万用表测量电阻
用万用表测量电阻

用万用表欧姆档可以测量导体的电阻。

万用表的欧姆档用“Ω”表示,分为R×1、R×10、R×100和R×1k四档,有些万用表还有R×10k档。使用万用表欧姆档测电阻,应遵循以下步骤。

1)选用合适的量程。

2)调零。将选择开关置于R×100档,将两表笔短接,调整欧姆档零位调整旋钮,使表针指向电阻刻度线右端的零位。若指针无法调到零点,说明表内电池电压不足,应更换电池。

3)用两表笔分别接触被测电阻两引脚进行测量。正确读出指针所指电阻的数值,再乘以倍率(如R×100档应乘100,R×1k档应乘1000)。

4)为使测量较为准确,测量时应使指针指在刻度线中心位置附近。若指针偏角较小,应换用R×1k档;若指针偏角较大,应换用R×10档或R×1档。每次换档后,应再次调整欧姆档零位调整旋钮,然后再进行测量。

5)测量结束后,应拔出表笔,将选择开关置于“OFF”档。

测量电阻时应注意以下问题。

1)应从电路中将被测电阻拆下后再进行测量。

2)两只表笔不要长时间碰在一起。

3)两只手不能同时接触两根表笔的金属杆或被测电阻的两根引脚,最好用右手同时持两根表笔,如同握筷子的姿势,如图1-38所示。

4)长时间不使用万用表,应将表中电池取出。

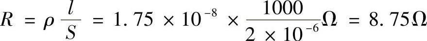
【例1-7】一根铜质导线长l=1000m,截面积S=2mm2,求该导线的电阻值是多少。

解:由表1-2可知,铜的电阻率ρ=1.75×10-8Ω·m,由电阻定律可以求得阻值为

978-7-111-49354-9-Chapter01-58.jpg

978-7-111-49354-9-Chapter01-59.jpg

图1-38 用万用表测量电阻