1
电工基础
1.3.2.2 二、电场强度
电场强度

一般常用检验电荷来探测、研究电场的性质。所谓检验电荷是指带正电且电荷量很小的点电荷,它所带电荷量很小,是为了使检验电荷的电场不致影响所研究的原电场,可以科学准确地研究原来电场的特性。

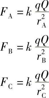
在真空中,正点电荷Q产生的电场中,将检验电荷q分别放在距正点电荷Q距离为rArBrC的各点ABC,如图1-8所示。由库仑定律可知各点电场力的大小为

978-7-111-49354-9-Chapter01-12.jpg

978-7-111-49354-9-Chapter01-13.jpg

图1-8 检验电荷在+Q电场中的受力

由此可以看出,同一检验电荷在电场中不同的位置,所受到的电场力的大小和方向是不同的,距Q越近的地方,q所受到的电场力越大,那里的电场就越强,即电场中不同位置各点的电场强弱不同,方向也不同。

对于电场中某一确定的点(如A点),不同的检验电荷,如q、2q、3q、…、nq,在A点所受到的电场力分别为F、2F、3F、…、nF。很容易看出,放在A点的检验电荷所受的电场力跟检验电荷的电荷量比(F/q),不随检验电荷量而改变,它是一个恒量。对于电场中不同位置的点,都有一个确定的F/q的比值与之对应。这个比值只与场源正点电荷Q及该点所在的电场中的位置有关,与检验电荷无关。比值大的地方,电荷在该点受到的电场力就大。显然,F/q反映了电场中不同位置电场力的特性。

检验电荷在电场中某一点所受电场力F与检验电荷量q的比值,称为该点的电场强度,简称场强,用公式表示为

978-7-111-49354-9-Chapter01-14.jpg

式中F——检验电荷所受的电场力,单位为N;

q——检验电荷的电荷量,单位为C;

E——电场强度,单位为N/C。

电场强度是用来表示电场的强弱和方向的物理量。因此,电场强度是矢量,既有大小又有方向。电场中某点的场强方向,就是正电荷在该点所受电场力的方向,负电荷的受力方向与场强方向相反。

在图1-8中,若设Q为点电荷,则由库仑定律可得A点的场强为

978-7-111-49354-9-Chapter01-15.jpg

EAFA方向相同,EA的大小只与QrA有关,与检验电荷q无关。由于库仑定律仅适用于点电荷电场,因此式(1-3)也仅适用于真空中静止的点电荷电场。