5毛特效电动机,真的只要5毛!
原创 雾里熊&Fi 中科院物理所 转自 中科院物理所微信公众号
在古代
人们常把电和磁当作是两种互不相关的现象
在1820年
丹麦科学家奥斯特在上课时
无意中让通电的导线靠近指南针
发现指南针竟然发生转动
进而发现了电流的磁效应

后来,法拉第又提出了电磁感应定律
使人们对电和磁之间的联系有了更进一步的认识

迈克尔·法拉第
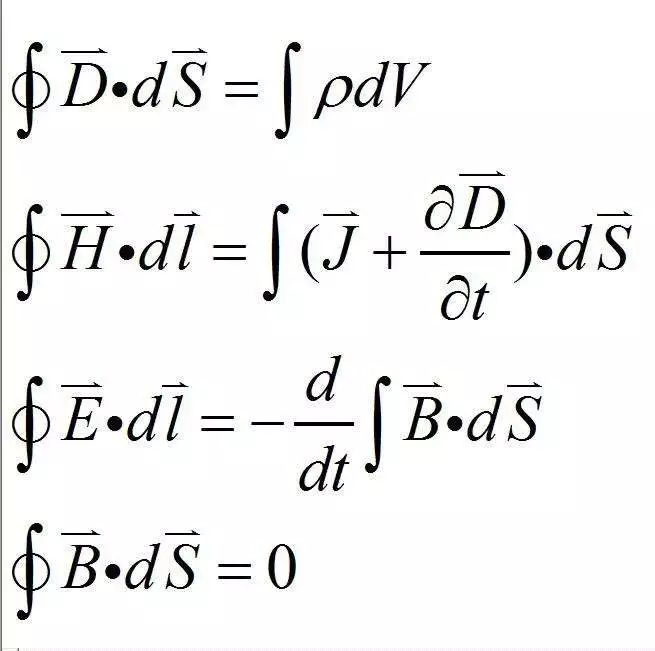
再后来麦克斯韦为广大物理学的大学生对电磁学进行了总结

开设了《电磁学》这一课程
对于上面的公式大家是不是很熟悉呢?
再再后来
给小编5毛钱
小编带你亲身感受一下电磁的力量
所标杯、导线、胶带、电池、小钢球、硬币、磁铁

首先取出已准备好的
磁铁、小钢球和5角的硬币

利用磁铁的磁性
将小钢球和硬币依次叠放在磁铁上
一定要让硬币在小钢球之间
这样可以大大减小摩擦力
提高实验的成功率

捏住上方的小钢球
可以轻松将这一长串提起

接着拿出胶带,将导线的一端固定在电池上
实验过程中小编看着胶带上冒起的烟
决定放弃胶带不用辽
(注意:普通胶带易燃且安全隐患比较大)

两只手一上一下
固定导线两端
注意手不要碰到导线中的铜芯哦
被电到,被烫到都不好
使导线一端接触电池,另一端接触磁铁
可以看到
硬币和磁铁竟然快速旋转起来啦

固定电池端导线不动
另一端刚接触磁铁
硬币就会旋转起来
离开磁铁
硬币就会停止转动

想一下
如果把两个小钢球取下会怎么样呢?
如果去掉磁铁
硬币还会发生转动吗?
想知道答案
赶紧动手来试试吧
原理解说
高中的知识不知道大家有没有还给老师

这张图还有没有印象
通电线圈会在磁场中旋转
是由于安培力的作用
线圈的左右两部分受力方向不同
一上一下
使线圈转动起来
这就是电能转化为机械能的活生生的例子啊
至于如何判断受力方向
就要请出鼎鼎大名的左手定则
根据左手定则:伸开左手,使拇指与其他四指垂直且在一个平面内,让磁感线从手心流入,四指指向电流方向,大拇指指向的就是安培力的方向(即导体受力方向)。
这次实验就是上图的变形
五毛硬币就充当了闭合线圈的作用

咱们现在生活中无处不在应用的电机(更广为人知的称呼是马达)
就是利用这一原理做出的
录像机、影碟机、电动剃须刀、电吹风、电子表、玩具等都应用了这一原理
以上的应用就是利用了能量相互转化的原理
生活中我们离不开它