目录
1
第一章 概论
1.1
经典学习笔记I
1.2
经典学习笔记II
1.3
经典学习笔记III
1.4
初识工程经济学在线课程问卷
2
第二章 现金流量与资金时间价值
2.1
学习笔记I
2.2
学习笔记II
2.3
课程互动
2.4
经典例题解析
2.4.1
等额系列求解年金经典习题I
2.4.2
等额系列求解年金经典习题II
2.4.3
等额系列求解终值F
2.4.4
单利复利之间的转换
2.4.5
年金与终值、现值之间的转换关系
2.4.6
现值、终值与年金的转换关系
2.4.7
线性内插法求解
2.4.8
有效利率与名义利率的求解
2.4.9
利息周期小于或等于资金收付周期的等值计算
2.4.10
计息期大于收付期、且计息期内按照单利计息
2.4.11
收付期大于计息期,按照收付期有效利率计算
2.4.12
计息期大于收付期,按照计息期有效利率计算等值
2.4.13
计息期大于收付期,按照收付期名义利率计算
3
第三章 投资、成本、收入与利润
3.1
学习笔记
3.2
课程互动I
3.3
课程互动II
3.4
经典例题解析
3.4.1
资金成本对比计算案例分析
3.4.2
银行贷款利息的计算
3.4.3
价差预备费的计算
4
第四章 工程项目经济评价方法
4.1
学习笔记
4.2
第一次互动
4.3
第二次互动
4.4
第三次互动
4.5
经典例题解析
4.5.1
经典习题解答互动
4.5.2
静态投资回收期/动态投资回收期的计算(I)
4.5.3
静态投资回收期/动态投资回收期的计算(II)
4.5.4
静态投资回收期的概念判断
4.5.5
动态投资回收期与静态投资回收期比较计算
4.5.6
净现值指标的概念判断
4.5.7
线性内插法求解内容收益率
4.5.8
增量投资回收期比较法
4.5.9
互斥方案静态评价辨析
4.5.10
互斥方案线性盈亏平衡分析(净现值)
4.5.11
增量投资回收期比较法(2)
4.5.12
差额内部收益率分析
4.5.13
寿命周期不等的方案对比
4.5.14
寿命周期不等的方案对比分析
5
第五章 工程项目风险与不确定性分析
5.1
经典学习笔记
5.2
第一次互动
5.3
第二次互动
5.4
经典习题解答
5.4.1
线性盈亏平衡分析
5.4.2
互斥方案的线性盈亏平衡分析(考虑资金时间价值)
5.4.3
敏感性因素对比分析
5.4.4
单因素敏感性计算与临界值计算
6
第七章 工程项目可行性研究
6.1
经典学习笔记I
6.2
经典学习笔记II
6.3
学习互动
6.4
经典习题解答
6.4.1
可行性研究报告编制依据
6.4.2
市场调查的主要内容
7
第八章 工程项目财务分析
7.1
经典学习笔记
7.2
第一次互动
7.3
第二次互动
7.4
第三次互动
7.5
经典习题解答
7.5.1
分项比例估算发
7.5.2
生产规模指数法I
7.5.3
生产规模指数法II
7.5.4
建设期贷款发生时间
7.5.5
建设工程项目财务财务评价案例分析
8
第九章 工程项目费用效益分析
8.1
经典学习笔记
8.2
互动直播
8.3
经典习题解答
8.3.1
市场失灵的原因分析
8.3.2
费用效益分析与计算
9
第十章 工程项目费用效果分析
9.1
经典学习笔记
9.2
经典互动与交流
9.3
学习重点
9.4
关键知识点的思维导图
9.4.1
费用效益分析、费用效果分析的区别和联系
9.5
经典习题解答
9.5.1
费用效果分析
9.5.2
费用效益分析、费用效果分析、成本效用分析对比
10
第十一章 设备更新分析
10.1
经典笔记
10.2
互动交流
10.3
学习要点分析视频
10.4
经典习题解答
10.4.1
静态经济寿命计算
10.4.2
静态与动态经济寿命的计算
10.4.3
不同寿命的比较分析
10.4.4
低劣化值计算经济寿命
11
第十三章 价值工程
11.1
经典学习笔记
11.2
第一次互动
11.3
第二次互动
11.4
第三次互动
11.5
经典习题解答
11.5.1
方案选择
11.5.2
价值工程的核心
12
混合式教学调研
12.1
工程经济学满意度调查
12.2
线上线下混合式教学多元化考核体系的相关问题调研
12.3
疫情阶段工程经济学学习现状调研
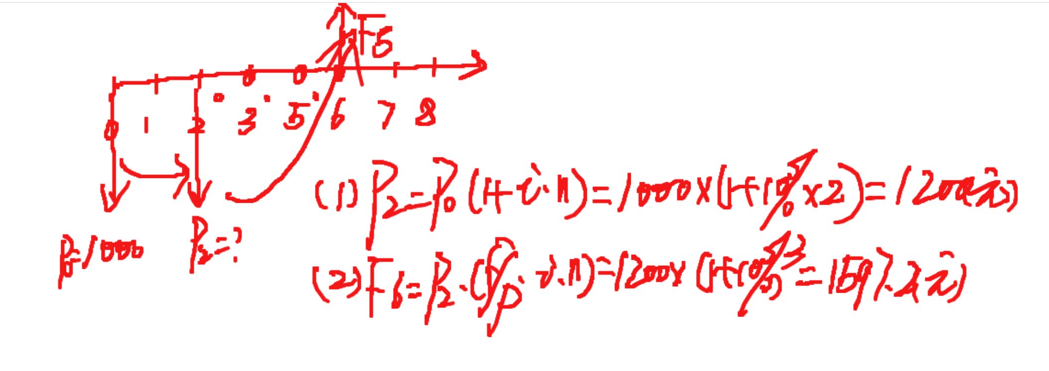
2.4.4
单利复利之间的转换
本金为1000 元,利率为10%,以单利计息,两年后,再以复利10%借给别人三年,可收本利和为( )。 A、1500
B、1611
C、1711
D、1597
解答:
上一页
下一页