数学有大美
罗素说:“数学,如果正确地看她,不但拥有真理,而且还具有至高的美。”数学是理性思维和想象力的完美结合,它的发展建立于社会的需求和人们对美好生活的追求,所以就有了数学的美。数学美是自然美的客观反映,是科学美的核心。“哪里有数学,哪里就有美”。数学美不是什么虚无缥缈、不可捉摸的东西,而是有其确定的客观内容。数学美的内容是丰富的,如数学概念的简单性、统一性,数学结构系统的协调性、对称性,数学命题与数学模型的概括性、典型性和普遍性,还有数学中的奇异性等,都是数学美的具体内容。数学美的表现形式是多种多样的,从外在形象上看:她有体系之美、概念之美、图形之美、公式之美;从思维方式上看:她有简约之美、无限之美、抽象之美、类比之美;从美学原理上看:她有对称之美、和谐之美、奇异之美等。此外,数学还有着完美的符号语言,特有的抽象艺术,严密的逻辑体系,永恒的创新动力等特点。
数学美是数学生命力的重要支柱,无论是运算关系、图形结构、数学语言,还是数学思想、数学方法、数学结论等,审美标准重于逻辑标准与实用标准。这是因为结论之美,在一定程度上反映的是真理,方法之美,在一定程度上代表的是科学性。
1.运算美
一些自然数的运算既神奇,又不可思议,就像一幅美丽的图画。
1×8+1=9
12×8+2=98
123×8+3=987
1234×8+4=9876
12345×8+5=98765
123456×8+6=987654
1234567×8+7=9876543
12345678×8+8=98765432
123456789×8+9=987654321
1×9+2=11
12×9+3=111
123×9+4=1111
1234×9+5=11111
12345×9+6=111111
123456×9+7=1111111
1234567×9+8=11111111
12345678×9+9=111111111
123456789×9+10=1111111111
9×9+7=88
98×9+6=888
987×9+5=8888
9876×9+4=88888
98765×9+3=888888
987654×9+2=8888888
9876543×9+1=88888888
98765432×9+0=888888888
1×1=1
11×11=121
111×111=12321
1111×1111=1234321
11111×11111=123454321
111111×111111=12345654321
1111111×1111111=1234567654321
11111111×11111111=123456787654321
111111111×111111111=12345678987654321
3×4=12
33×34=1122
333×334=111222
3333×3334=11112222
33333×33334=1111122222
333333×333334=111111222222
1=12
1+3=22
1+3+5=32
1+3+5+7=42
1+3+5+7+9=52
1+3+5+7+9+11=62
1+3+5+7+9+11+13=72
1+3+5+7+9+11+13+15=82
1+3+5+7+9+11+13+15+17=92
1+3+5+7+9+11+13+15+17+19=102
这些运算关系体现了数字运算的和谐美、对称美、序列美、奇异美和节奏美。
2.图形美
(1)三角形之美
这是纯三角形构成的图形。

(2)对称美

轴对称图形

中心对称图形
(3)圆与正多边形

(4)正、余弦曲线



正切、余切曲线
(5)圆锥曲线


(6)极坐标曲线


(7)参数方程曲线

圆的渐开线


(8)正态分布曲线
正态分布,又名高斯分布(Gaussian distribution),最早由棣莫弗在求二项分布的渐近公式中得到。高斯在研究测量误差时从另一个角度导出了它。这是一个在数学、物理及工程等领域都非常重要的概率分布,在统计学的许多方面有着重大的影响力。正态分布曲线反映了随机变量的分布规律,在现实生活中也有着天然的巧合,如各种动植物的高度、质量、体积的分布;人类的身高、体重、血压等的分布,以及班级学生成绩的分布等,基本上都满足正态分布。理论上的正态分布曲线是一条中间高,两端逐渐下降且完全对称的钟形曲线。
标准正态分布:

3.数学语言和结论的简洁美
爱因斯坦说过:“美,本质上终究是简单性。”他还认为,只有借助数学,才能达到简单性的美学准则。朴素,简单,是其外在形式。只有既朴实清秀,又底蕴深厚,才称得上至美。
(1)如刘徽在注《九章算术》中,有关“割圆术”的描述:“割之弥细,所失弥小,割之又割,以至于不可割,则与圆合体,而无所失矣”。短短一段文字,却是历史上第一位建立了可靠的理论来推算圆周率的数学家,也是极限理论基础的先驱。
(2)结论“边长为1的正方形,其对角线长不能表示成整数之比”,古希腊学者希帕索斯因这一“数学新发现”,挑战了神的权威而被抛进大海。真理的发现总是要付出代价的。
(3)欧拉给出的公式:V-E+F=2,堪称“简单美”的典范。世间的多面体有多少?没有人能说清楚。但它们的顶点数V、棱数E、面数F,都必须服从欧拉给出的公式,一个如此简单的公式,概括了无数种多面体的共同特性,体现了数学的统一美和简洁美,怎能不令人惊叹不已。
(4)勾股定理:“直角三角形两直角边的平方和等于斜边的平方”。所有的直角三角形都必须服从这个规律。
(5)圆的周长公式:C=2πR;圆的面积公式:S=πR2。简洁美。
(6)正弦定理:△ABC的外接圆半径为R,则
;
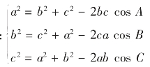
余弦定理
这都体现了统一美、对称美、和谐美。
(7)二项式定理:(a+b)n=
的序列美、和谐美、对称美。
(8)人造卫星、行星、彗星等由于运动的速度的不同,它们的轨道可能是椭圆、双曲线或抛物线,这几种曲线的统一定义如下:“到定点的距离与它到定直线的距离之比是常数e的点的轨迹”,当e<1时,形成的是椭圆,当e>1时,形成的是双曲线,当e=1时,形成的是抛物线。它们是形状、性质完全不同的曲线,反而可以用一个定义、一个方程来表示,而这几种曲线又完全可看作不同的平面截圆锥面所得到的截线。反映了数学的统一美。
(9)美丽的“黄金分割法”,当x∶1=(1-x)∶x时,x=0.61803398…。这就是著名的黄金分割比。达·芬奇称黄金分割比为“神圣比例”。他认为“美感完全建立在各部分之间神圣的比例关系上”。这是比例之美。
(10)欧拉公式:eiπ+1=0,把数学领域中五个最基本的常数0、1、i、e、π有机地结合起来,体现了数学的符号美、抽象美、统一美和简单美,欧拉公式也曾获得“最美的数学定理”称号。
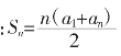
(11)梯形的面积公式:S=
(S上底+S下底)
等差数列的前n项和公式
,两个公式计算的内容不同,但逻辑关系却完全相同。内在统一美。
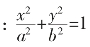
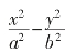
(12)解析几何中圆的方程:x2+y2=1,这是一个简洁、对称、美丽的方程,其图形也堪称是最对称的图形。当然还有椭圆方程和双曲线方程
,
=1。
(13)简洁的几何结论:
“三角形内角和等于180°”;
“多边形的外角和等于360°”
“过直线外一点有且只有一条直线与已知直线平行”;
“对顶角相等”;
“内错角相等,两直线平行”;
“同弧所对的圆周角是圆心角的二分之一”
“三角形的外心、重心、垂心共线”,称为欧拉线。
(14)记忆之美
①如同角三角函数关系的六边形记忆法:

规律1:六边形对角线互为倒数:
tan a·cot a=1,sin a·csc a=1,cos a·sec a=1;
规律2:三角形最高两端的平方之和等于低端平方:
sin2a+cos2a=1,tan2a+1=sec2a,cot2a+1=csc2a;
规律3:任意一点的值等于这一点顺时针的第一个值与第二个值的比值:
tana=
,sina=
等;
规律4:任意一点的值等于紧挨着这一点的两个端点的值的积:sin a=tan a·cos a,tan a=sin a·sec a等。
②近40个三角函数的诱导公式的口诀记忆法:
例如,所有的正弦诱导公式都可以统一表示为:sin
,其结果就可用口诀“奇变偶不变,符号看象限”来记忆。
(15)幻方之美:以五阶幻方为例。把数字1~25填入下面的5×5方阵中,使得每一行、每一列以及两对角线上的数字之和都相等。

著名英国数学家哈代说:“数学家的造型与画家或诗人的造型一样,必须美。美是首要标准,不美的数学在世界上是找不到永久地位的”。每一项数学新领域的发现和发展,都经历了漫长的完善过程,如实数、复数体系的建立与完善,就经过了几个世纪,甚至是十几个世纪,数学家们才不断地将它们系统化、科学化、简约化、可接受化,这其中不乏对数学美的执着和追求。